Wetenschap

De CRP-sneltest bij lageluchtweginfecties

Gepubliceerd
1 juni 2017
Dossier

Samenvatting

Minnaard MC. De CRP-sneltest bij lageluchtweginfecties. Huisarts Wet 2017;60(6):268-72.
De NHG-Standaard Acuut Hoesten adviseert C-reactief proteïne (CRP) te gebruiken als aanvullend onderzoek bij patiënten bij wie diagnostische twijfel bestaat of zij een pneumonie hebben. In mijn proefschrift Diagnosing pneumonia in primary care: implementation of C-reactive protein point-of-care testing in daily practice richt ik mij op CRP in de huisartsenpraktijk. Ik heb op basis van gegevens van individuele patiënten uit verschillende diagnostische onderzoeken uit de eerste lijn een meta-analyse gedaan om de toegevoegde diagnostische waarde van CRP te bepalen. Hieruit blijkt dat de verschillen in discriminatie mét en zónder CRP klein zijn. Bij de beoordeling van de risicoclassificatie komt naar voren dat de groep patiënten bij wie diagnostische onzekerheid blijft bestaan (na bepaling van het CRP) groot blijft. Uit implementatieonderzoek in Nederlandse huisartspraktijken wordt duidelijk dat het CRP de beslissing om wel of juist geen antibiotica voor te schrijven beïnvloedt – onder de streep verandert het totale aantal antibioticavoorschriften echter niet. Een aanzienlijk deel van de huisartsen die hebben meegewerkt aan het onderzoek gebruikt de test bij een andere groep patiënten dan de standaard voorstelt.

De kern

  • Een C-reactieve proteïnemeting heeft naast de anamnese en het lichamelijk onderzoek een kleine toegevoegde diagnostische waarde.
  • Het grootste deel van de groep patiënten bij wie de huisarts een CRP-sneltest (laat) verricht(en), voldoet niet aan de criteria voor tests van de NHG-Standaard.

Inleiding

Hoesten is een veelvoorkomende klacht en lageluchtweginfecties (LLWI’s) komen in alle seizoenen geregeld voor. Voor huisartsen is het belangrijk om in het diagnostische behandelproces van LLWI’s onderscheid te maken tussen ernstige aandoeningen, zoals pneumonie, en aandoeningen die vanzelf overgaan. Daarnaast is het belangrijk dat ze antibiotica niet nodeloos voorschrijven, bijvoorbeeld bij self-limiting-aandoeningen. Er zijn verschillende modellen ontwikkeld om pneumonie te voorspellen op basis van de anamnese en het lichamelijk onderzoek. Daarnaast wordt het C-reactief proteïne (CRP) gezien als een veelbelovende aanvullende test om de voorspelling nog nauwkeuriger te maken. De huisarts kan CRP eenvoudig meten met een sneltest. Deze test meet de concentratie van CRP in capillair bloed, die te bepalen is via een vingerprik. Het resultaat is binnen een paar minuten beschikbaar. De huisarts kan de CRP-sneltest daarom tijdens een consult (laten) bepalen, om mede op basis van de resultaten daarvan te beslissen om wel of geen antibiotica voor te schrijven. Verschillende onderzoeken hebben aangetoond dat de CRP-sneltest kosteneffectief is en dat het gebruik ervan het aantal antibioticavoorschriften laat dalen.12345678910111213
De CRP-sneltest is opgenomen in de NHG-Standaard Acuut hoesten.14 Deze en andere internationale richtlijnen adviseren wanneer CRP getest dient te worden, en geven aan hoe de uitslagen vervolgens kunnen worden geïnterpreteerd bij patiënten die zich bij de huisarts met acuut hoesten (minder dan 28 dagen) melden. De verschillende sneltestapparaten zijn even betrouwbaar (als het gaat om het voorspellen van pneumonie) als de laboratoriumtest.15
Vóór de publicatie van mijn proefschrift Diagnosing pneumonia in primary care: implementation of C-reactive protein point-of-care testing in daily practice,16 waar deze beschouwing op gebaseerd is, was er weinig bekend over de mate waarin huisartsen de NHG-Standaard Acuut hoesten volgen. Het is interessant voor huisartsen om te weten hoe ze de CRP-sneltest in de dagelijkse praktijk kunnen gebruiken en om het eigen gebruik ervan tegen het licht te houden. In mijn proefschrift heb ik gekeken naar de invloed van de uitkomsten van de CRP-sneltest op de beslissing van huisartsen om wel of geen antibiotica voor te schrijven. Maar eerst heb ik een meta-analyse gedaan van de (toegevoegde) diagnostische waarde van CRP (toegevoegd aan de anamnese en het lichamelijk onderzoek).

Toegevoegde diagnostische waarde van CRP

Voor de meta-analyse heb ik gebruikgemaakt van meetgegevens van individuele patiënten (n = 5308) uit eerder uitgevoerde diagnostische onderzoeken.1718192021222324 De onderzoeken voldeden aan de inclusiecriteria wanneer ze werden uitgevoerd bij (niet-verwezen) volwassen patiënten in de eerste lijn die op het spreekuur kwamen met symptomen van een LLWI of acuut hoesten (minder dan 28 dagen). De diagnose pneumonie werd gesteld aan de hand van een X-thorax, aangezien dit de gouden standaard is. Om de dagelijkse praktijk te weerspiegelen, heb ik een predictiemodel met informatie uit de anamnese en het lichamelijk onderzoek ontwikkeld. Aan dit ‘basismodel’ heb ik vervolgens CRP toegevoegd, waarmee ik een tweede, ‘uitgebreid model’ verkreeg. We kunnen de mate van toegevoegde waarde van CRP bepalen door te kijken naar het verschil tussen het model zonder CRP (het basismodel) en het model mét CRP (het uitgebreide model). Dit verschil wordt op twee manieren weergegeven: aan de hand van discriminatie en risicoclassificatie.

Discriminatie

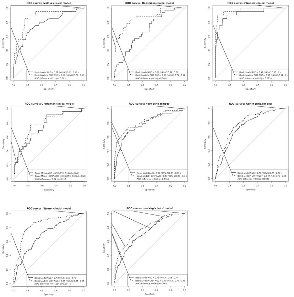
Discriminatie betreft de mate waarin een model onderscheid maakt tussen patiënten met de ziekte en patiënten zonder de ziekte. Indien de discriminatie bij het uitgebreide model toegenomen is in vergelijking met het basismodel spreekt men van een verbetering (in dit geval een toegevoegde waarde van CRP). In de (acht verschillende) datasets verbeterde de discriminatie na het toevoegen van CRP aan het predictiemodel, met een gemiddelde toename van de oppervlakte onder de receiver operating characteristic curve (een plot van sensitiviteit tegen 1-specificiteit) (Engels: area under the ROC curve, afgekort AUC) van 0,075 (variërend tussen 0,02 en 0,18). Dit is een significante, maar wel zeer kleine toename.25 In [figuur 1] zijn voor de acht datasets de twee verschillende ROC-curves te zien. Het verschil in AUC (afgekort met ΔAUC) is gevisualiseerd in een forest-plot [figuur 2], waarbij van boven naar beneden eerst de ΔAUC per dataset te zien is, en onderaan de gepoolde ΔAUC, die de gemiddelde verbetering in discriminatie toont na het toevoegen van CRP aan het diagnostisch model.

Risicoclassificatie

Het verschil in risicoclassificatie tussen de beide modellen kunnen we inzichtelijk maken via een reclassificatietabel. Dit is een vorm van kalibratie waarbij de voorspelde kans wordt uitgezet tegen de geobserveerde ziekte (voor zowel het basismodel als het uitgebreide model). Ik heb gekozen voor opdeling in drie risicocategorieën (conform een eerder onderzoek waarbij predictiemodellen voor pneumonie zijn ontwikkeld24): patiënten met een laag ( 20%) risico en een categorie daartussenin (intermediair risico). In deze laatste categorie houdt de huisarts een grote (diagnostische) twijfel/onzekerheid.
De modellen zónder en mét CRP kunnen we met elkaar vergelijken door te kijken naar de verschuivingen van patiënten binnen de reclassificatietabel. Uit de reclassificatietabel [tabel] is te extraheren dat het toevoegen van CRP aan het predictiemodel op verschillende punten verbeteringen laat zien. De proportie patiënten zónder pneumonie die correct geclassificeerd werden als laagrisicopatiënten steeg na toevoegen van CRP aan het model van 28% (244 van 870) naar 36% (313 van 870). De proportie patiënten met een correct geclassificeerd hoog risico op pneumonie nam toe van 63% naar 70%, de proportie patiënten met pneumonie die (ten onrechte) in de laagrisicogroep terechtkwamen bleef gelijk (n = 4) en de proportie patiënten in de intermediaire risicogroep nam af van 56% naar 51%.26
TabelToename in diagnostische risicoclassificatie nadat CRP is toegevoegd aan het diagnostisch onderzoek van pneumonie in een hypothetisch cohort van 1000 pat
Voorspeld risico op pneunomieGeobserveerde pneumonie (op X-thorax)
JaNeeTotaal
Laag &lt 2,5% 4*244* 248
Basismodel (zonder CRP)Intermediair 2,5 tot 20% 44513 557
Hoog > 20% 82113 195
Totaal 1308701000
Laag &lt 2,5% 4313 317
Uitgebreid model (met CRP)Intermediair 2,5 tot 20% 35470 505
Hoog > 20% 91 87 178
Totaal 1308701000
De cijfers in deze tabel zijn gebaseerd op een mediane prevalentie van pneumonie van 13% over de onderzoeken en de gepoolde sensitiviteit en specificiteit voor het basis- en uitgebreide model voor lage (2,5%) en hoge (20%) drempelwaarden. Bij de lage drempelwaarden waren de gepoolde sensitiviteitswaarden voor het basis- en uitgebreide model beide 0,97. De gepoolde specificiteit voor beide modellen was respectievelijk 0,28 en 0,36. Bij de hoge drempelwaarde was de gepoolde sensitiviteit voor het basis- en uitgebreide model 0,63 en 0,70, en de gepoolde specificiteit voor beide modellen respectievelijk 0,87 en 0,90.
*Rekenvoorbeelden: (1-0,97)*0,13*1000 = 4 patiënten met pneumonie op X-thorax krijgen een voorspeld risico van &lt 2,5% wanneer het basismodel wordt gebruikt. En 0,28*(1-0,13)*1000 = 244 patiënten zonder pneumonie op X-thorax krijgen een voorspeld risico van &lt 2,5% wanneer het basismodel wordt gebruikt.

Conclusie op basis van risicoclassificatie en discriminatie

De discriminatie tussen patiënten mét en zónder pneumonie wordt dus groter en de diagnostische risicoclassificatie verbetert mét het gebruik van CRP. We kunnen daarom concluderen dat CRP als aanvullend onderzoek toegevoegde waarde heeft boven op de anamnese en het lichamelijk onderzoek bij patiënten die op het spreekuur komen met symptomen van LLWI’s.
CRP als aanvullende test is echter niet zo veelbelovend als het op het eerste gezicht lijkt; de verschillen tussen ‘mét en zónder CRP’ zijn namelijk bijzonder klein en de patiënten bij wie diagnostische onzekerheid blijft bestaan (na het uitvoeren van aanvullend onderzoek in de vorm van een CRP-(snel)test) blijft groot. De groep patiënten met een intermediair risico, bij wie de huisarts de diagnostische twijfel blijft houden, is de groep waarbij de NHG-Standaard het advies geeft om CRP te testen.

Effect CRP-sneltest op praktijk

Om het effect van de CRP-sneltest op het aantal antibioticavoorschriften te bepalen, evenals de mate waarin de huisartsen de NHG-Standaard Acuut hoesten hebben gevolgd na de implementatie van de CRP-sneltest, hebben mijn collega’s en ik een observationeel onderzoek uitgevoerd.27 Hieruit bleek dat huisartsen de test vaak inzetten bij patiënten die het spreekuur bezoeken met lageluchtweginfecties – zelfs te vaak of voor verkeerde indicaties. Het totale aantal antibioticavoorschriften neemt niet af; overigens is het maar de vraag of dat het ultieme doel moet zijn. De CRP-sneltest kan de uiteindelijke beslissing om wel of geen antibiotica voor te schrijven echter wel ondersteunen. Ik zal uiteenzetten hoe ik tot deze conclusies ben gekomen.
Voor het observationele onderzoek zijn van februari 2012 tot februari 2013 veertig huisartsen uit de regio Utrecht en Rotterdam geïnstrueerd om de CRP-sneltest volgens de huidige standaard te gebruiken bij volwassen patiënten die met acuut hoesten op het spreekuur kwamen. Na routinematige afname van de anamnese en het lichamelijk onderzoek rapporteerden de huisartsen of zij wel of niet van plan waren om antibiotica voor te schrijven (de ‘pre-testbeslissing’) en of zij al dan niet gebruik wilden maken van de CRP-sneltest. Wanneer zij besloten om de praktijkassistente een CRP-sneltest te laten uitvoeren, rapporteerden zij nadat zij de uitslag van de test terug hadden gekregen of zij bij hun beslissing bleven of niet (de ‘post-testbeslissing’). De primaire uitkomstmaat was het verschil tussen de percentages patiënten bij wie de huisarts antibiotica voorschreef cq. van plan was voor te schrijven vóór en ná de CRP-sneltest. Tevens keken we bij hoeveel patiënten de huisarts zijn of haar initiële beslissing om wel of geen antibiotica voor te schrijven veranderde op grond van het resultaat van de CRP-sneltest.
Daarnaast keken we of de huisartsen de NHG-Standaard op twee verschillende punten hadden gevolgd. Het eerste punt betrof de testindicatie; volgens de standaard is er alleen een indicatie om CRP te testen wanneer er sprake is van een intermediair risico op pneumonie, wat dus de patiënten betreft bij wie de huisarts twijfelt over de diagnose pneumonie. Bij de patiënten met een laag risico op pneumonie beveelt de standaard aan om géén antibiotica voor te schrijven, bij de patiënten met een hoog risico op pneumonie juist wel. In de intermediaire categorie wordt de uitslag van de CRP-sneltest meegenomen in de vorming van het advies om wel of geen antibiotica voor te schrijven: bij een uitslag &lt 20 mg/L luidt het advies om géén antibiotica voor te schrijven, bij een uitslag van > 100 mg/L wel. Wanneer de uitslag van de CRP-sneltest tussen de 20 en 100 mg/L ligt, is de klinische verdenking leidend bij het wel of niet voorschrijven.
Ten tweede keken we of het voorschrijven (of niet) van antibiotica (de ‘post-testbeslissing’) in overeenstemming met de standaard was. De resultaten laten zien dat de huisartsen in totaal 939 patiënten hebben geïncludeerd, van wie ze 78% hebben getest. Het percentage antibioticavoorschriften verschilde niet vóór en na het testen (‘pre-test’ 31% en ‘post-test’ 28%, 95%-BI –7 tot 1). Na de CRP-test veranderden de huisartsen bij 200 patiënten (27%) hun beslissing over het beleid.

De NHG-Standaard en testindicatie

Van de geteste patiënten viel 41% in de categorie intermediaire risicogroep, waarmee de indicatie om te testen in 41% van de gevallen in overeenstemming was met de NHG-Standaard. Bij de meerderheid van de tests gebeurde dit dus bij de ‘verkeerde’ patiënten. We hebben in het onderzoek niet specifiek gevraagd welke motivatie de huisartsen hadden om van de standaard af te wijken. Het is dus niet bekend welke redenen de huisartsen hiervoor hadden, maar het is mogelijk dat sommige huisartsen de patiënt er bijvoorbeeld graag van wilden overtuigen dat antibiotica niet nodig waren en daarbij de resultaten van het bloedonderzoek gebruikten. Een van de andere mogelijkheden is dat ze alvast het CRP wilden weten om de patiënt te kunnen volgen, zodat duidelijk zou worden of de antibioticakuur aansloeg.

De NHG-Standaard en antibiotica

Om te zien of het wel/niet voorschrijven van antibiotica in overeenstemming is met de NHG-Standaard moeten we de drie verschillende risicogroepen apart bekijken. We zien dan dat de huisartsen bij 264 van de 335 (79%) laagrisicopatiënten geen antibiotica voorschreven (en dus volgens de standaard handelden). Bij de groep met een hoog risico schreven ze 44 van de 97 (46%) patiënten wel antibiotica voor (conform de standaard). In de intermediaire risicogroep bleek voor 244 van de 303 (80%) patiënten het voorschrift conform het advies in de standaard.
Het CRP werkt dus wel beslissingsondersteunend, maar onder de streep verandert het (totale) aantal antibioticavoorschriften niet. Hierbij moeten we echter opmerken dat in dit onderzoek het ‘pre-testvoorschrijfpercentage’ al erg laag was. De CRP-sneltest beïnvloedde een deel van de huisartsen dus wel bij hun beslissing om wel of geen antibiotica voor te schrijven, waarbij ik de kanttekening moet plaatsen dat een verandering van de beslissing niet per definitie een verbetering hoeft te zijn. Wat ook opviel was dat huisartsen de test vaker (59%) en anders gebruikten dan de standaard adviseert. Het is belangrijk dat zowel huisartsen als beleidsmakers zich hiervan bewust zijn.

Kans op vertekening van resultaten

Zoals ik hierboven al aangaf, hebben we het CRP getest bij 78% van de geïncludeerde patiënten. Dit percentage is opvallend hoog en daarom hebben we ook een secundaire analyse uitgevoerd om te bepalen of de resultaten van het observationele onderzoek niet waren vertekend door selectieve inclusie van patiënten.28 We keken welke patiënten in een aantal deelnemende huisartsenpraktijken in aanmerking kwamen voor inclusie (alle volwassen patiënten die op het spreekuur kwamen met acuut hoesten, dus korter dan 28 dagen) en vervolgens bepaalden we welk percentage hiervan daadwerkelijk was geïncludeerd. De groep die in aanmerking kwam voor inclusie bestond dus uit zowel geïncludeerde patiënten als niet-geïncludeerde patiënten. Deze twee groepen vergeleken we met elkaar voor onder andere het percentage CRP-tests en het percentage antibioticavoorschriften. Van alle 1473 patiënten die in aanmerking kwamen voor inclusie hebben we er 348 (24%) daadwerkelijk geïncludeerd. Bij deze geïncludeerde patiënten bepaalden huisartsen vaker het CRP en schreven ze vaker antibiotica voor dan bij de niet-geïncludeerde patiënten (respectievelijk 81% versus 6% en 44% versus 29%). De selectie geïncludeerde patiënten heeft geresulteerd in een overschatting van zowel het aantal uitgevoerde tests, als het aantal antibioticavoorschriften (wat nota bene al laag was – het werkelijke aantal antibioticavoorschriften ligt dus lager dan uit het onderzoek blijkt).

Conclusie

De implementatie van de CRP-sneltest is niet zo eenvoudig als misschien op het eerste gezicht lijkt. Op de toegevoegde waarde van de test valt heel wat af te dingen. Bovendien gebruikt een aanzienlijk deel van de huisartsen in het implementatieonderzoek27 de test niet volgens de NHG-Standaard. Tevens was het effect op (de reductie van) het percentage antibioticavoorschriften teleurstellend. Door de tegenstrijdigheden in de uitkomsten van dit observationele onderzoek en de in het verleden uitgevoerde gecontroleerde gerandomiseerde onderzoeken is er een belangrijke rol voor implementatieonderzoeken weggelegd. Het daadwerkelijk gebruik van innovaties in de eerstelijnsgezondheidszorg zal nauwlettend gevolgd moeten worden. Uit dit onderzoek blijkt echter dat er ook in observationeel implementatieonderzoek een aanzienlijk risico bestaat op vertekende resultaten door selectieve inclusie. De wijze waarop de NHG-Standaard momenteel adviseert de CRP-sneltest te gebruiken, komt niet overeen met de toepassing ervan in de dagelijkse praktijk. Daarom is het belangrijk dat beleidsmakers weten in hoeverre de theorie met de praktijk strookt en zal iedere huisarts zichzelf ook nog eens kritisch moeten afvragen wat voor hem/haar de daadwerkelijke reden is om de test te gebruiken.
Overigens wil ik een rol voor de CRP-sneltest in de eerste lijn niet uitsluiten. Het gebruik als aanvullende test zal verder onderzocht moeten worden, vooral met betrekking tot de vraag of herhaalde bepalingen van het CRP de huisarts kunnen helpen de diagnostische onzekerheid te reduceren, zowel bij LLWI’s als bij andere veelvoorkomende infectieziekten in de huisartsenpraktijk.

Literatuur

  • 1.Cals JW, Ament AJ, Hood K, Butler CCHopstaken RMWassink GF, et al. C-reactive protein point of care testing and physician communication skills training for lower respiratory tract infections in general practice: economic evaluation of a cluster randomized trial. J Eval Clin Pract 2011;17:1059-69.
  • 2.Dahler-Eriksen BS, Lauritzen T, Lassen JF, Lund EDBrandslund I. Near-patient test for C-Reactive protein in general practice: assessment of clinical, organizational, and economic outcomes. Clin Chem 1999;45:478-85.
  • 3.Oppong R, Jit M, Smith RD, Butler CCMelbye HMölstad S, et al. Cost-effectiveness of point-of-care C-reactive protein testing to inform antibiotic prescribing decisions. Br J Gen Pract 2013;63:465-71.
  • 4.Cals JW, Ament AJ, Hood K, Butler CCHopstaken RMWassink GF, et al. C-reactive protein point of care testing and physician communication skills training for lower respiratory tract infections in general practice: economic evaluation of a cluster randomized trial. J Eval Clin Pract 2011;17:1059-69.
  • 5.Dahler-Eriksen BS, Lauritzen T, Lassen JF, Lund EDBrandslund I. Near-patient test for C-Reactive protein in general practice: assessment of clinical, organizational, and economic outcomes. Clin Chem 1999;45:478-85.
  • 6.Oppong R, Jit M, Smith RD, Butler CCMelbye HMölstad S, et al. Cost-effectiveness of point-of-care C-reactive protein testing to inform antibiotic prescribing decisions. Br J Gen Pract 2013;63:465-71.
  • 7.Cooke J, Butler C, Hopstaken R, Dryden MSMcNulty CHurding S, et al. Narrative review of primary care point-of-care testing (POCT) and antibacterial use in respiratory tract infection (RTI). BMJ Open Respir Res 2015;2:e000086.
  • 8.Cals JW, Butler CC, Hopstaken RM, Hood KDinant GJ. Effect of point of care testing for C reactive protein and training in communication skills on antibiotic use in lower respiratory tract infections: cluster randomised trial. BMJ 2009;338:b1374.
  • 9.Cals JW, Schot MJ, De Jong SA, Dinant GJHopstaken RM. Point-of-care C-reactive protein testing and antibiotic prescribing for respiratory tract infections: a randomized controlled trial. Ann Fam Med 2010;8:124-33.
  • 10.Andreeva E, Melbye H. Usefulness of C-reactive protein testing in acute cough/respiratory tract infection: an open cluster-randomized clinical trial with C-reactive protein testing in the intervention group. BMC Fam Pract 2014;15:80.
  • 11.Kavanagh KE, O’Shea E, Halloran R, Cantillon PMurphy AW. A pilot study of the use of near-patient C-Reactive Protein testing in the treatment of adult respiratory tract infections in one Irish general practice. BMC Fam Pract 2011;12:93.
  • 12.Diederichsen HZ, Skamling M, Diederichsen A, Grinsted PAntonsen SPetersen PH, et al. A randomized controlled trial of the use of CRP rapid test as a guide to treatment of respiratory infections in general practice. Ugeskr Laeger. 2001;163:3784-7.
  • 13.Aabenhus R, Jensen-Jens US, Jørgensen KJ, Hróbjartsson ABjerrum L. Biomarkers as point-of-care tests to guide prescription of antibiotics in patients with acute respiratory infections in primary care. Cochrane Database Syst Rev 2014 Nov 6;11:CD010130.
  • 14.Llor C, Cots JM, López-Valcárcel BG, Arranz JGarcía GOrtega J, et al. Interventions to reduce antibiotic prescription for lower respiratory tract infections: Happy Audit study. Eur Respir J 2012;40:436-41.
  • 15.Little P, Stuart B, Francis N, Douglas ETonkin-Crine SAnthierens S, et al. Effects of internet-based training on antibiotic prescribing rates for acute respiratory-tract infections: a multinational, cluster, randomised, factorial, controlled trial. Lancet 2013;382:1175-82.
  • 16.Huang Y, Chen R, Wu T, Wei XGuo A. Association between point-of-care CRP testing and antibiotic prescribing in respiratory tract infections: a systematic review and meta-analysis of primary care studies. Br J Gen Pract 2013;63:787-94.
  • 17.Verlee L, Verheij TJM, Hopstaken RM, Prins JM, Salomé PL, Bindels PJE. Samenvatting van de NHG-standaard ‘Acuut hoesten’. Ned Tijdschr Geneeskd. 2012;156:A4188.
  • 18.Minnaard MC, Van de Pol AC, De Groot JA, De Wit NJHopstaken RMVan Delft S, et al. The added diagnostic value of five different C-reactive protein point-of-care test devices in detecting pneumonia in primary care: a nested case-control study. Scand J Clin Lab Invest 2015 Jul;75:291-5.
  • 19.Minnaard MC. Diagnosing pneumonia in primary care: implementation of C-reactive protein point-of-care testing in daily practice. Proefschrift. Utrecht: Universiteit Utrecht; 2016.
  • 20.Melbye H, Straume B, Aasebø U, Dale K. Diagnosis of pneumonia in adults in general practice. Relative importance of typical symptoms and abnormal chest signs evaluated against a radiographic reference standard. Scand J Prim Health Care 1992;10:226-33.
  • 21.Hopstaken RM, Muris JW, Knottnerus JA, Kester ADRinkens PEDinant GJ. Contributions of symptoms, signs, erythrocyte sedimentation rate, and C-reactive protein to a diagnosis of pneumonia in acute lower respiratory tract infection. Br J Gen Pract 2003 May;53:358-64.
  • 22.Flanders SA, Stein J, Shochat G, Sellers KHolland MMaselli J, et al. Performance of a bedside C-reactive protein test in the diagnosis of community-acquired pneumonia in adults with acute cough. Am J Med 2004;116:529-35.
  • 23.Graffelman AW, le Cessie S, Knuistingh Neven A, Wilemssen FEZonderland HMVan den Broek PJ, et al. Can history and exam alone reliably predict pneumonia? J Fam Pract 2007 Jan;56:465-70.
  • 24.Holm A, Pedersen SS, Nexoe J, Obel NNielsen LPKoldkjaer O, et al. Procalcitonin versus C-reactive protein for predicting pneumonia in adults with lower respiratory tract infection in primary care. Br J Gen Pract 2007;57:555-60.
  • 25.Rainer TH, Chan CPY, Leung MF, Leung WIp MLee N, et al. Diagnostic utility of CRP to neopterin ratio in patients with acute respiratory tract infections. J Infect 2009 Feb;58:123-30.
  • 26.Steurer J, Held U, Spaar A, Bausch BZoller MHunziker R, et al. A decision aid to rule out pneumonia and reduce unnecessary prescriptions of antibiotics in primary care patients with cough and fever. BMC Med 2011 Jan;9:56.
  • 27.Van Vugt SF, Broekhuizen BDL, Lammens C, Zuithoff NPDe Jong PACoenen S, et al. Use of serum C reactive protein and procalcitonin concentrations in addition to symptoms and signs to predict pneumonia in patients presenting to primary care with acute cough: diagnostic study. BMJ 2013 Jan;346:f2450.
  • 28.Burger H, Holtman G. De ROC-curve. Huisarts Wet 2016 May;59:199.
  • 29.Minnaard MC, De Groot JA, Hopstaken RM, Schierenberg ADe Wit NJReitsma JB, et al. The added value of C-reactive protein measurement in diagnosing pneumonia in primary care: a meta-analysis of individual patient data. CMAJ 2016 Sep 19;pii:cmaj.151163.
  • 30.Minnaard MC, Van de Pol AC, Hopstaken RM, Van Delft SBroekhuizen BDVerheij TJ, et al. C-reactive protein point-of-care testing and associated antibiotic prescribing. Fam Pract 2016 Aug;33:408-13.
  • 31.Minnaard MC, Van der Zand J, Van de Pol AC, De Wit NJSchierenberg AHopstaken RM, et al. Analysis of recruitment in a pragmatic observational study on C-reactive protein point-of-care testing in primary care. Eur J Gen Pract 2016 Aug 2:1-6.

Reacties

Er zijn nog geen reacties.