Wetenschap

De Test Your Memory-test: een alternatief voor de MMSE

Samenvatting

Koekkoek PS, Rutten GEHM, Van den Berg E, Kappelle LJ, Biessels GJ. Test Your Memory-test: een alternatief voor de MMSE. Huisarts Wet 2014;57(1):618-21.
De Mini-Mental State Examination (MMSE) is de meest gebruikte screeningstest om een indruk over het cognitieve functioneren te krijgen. Deze test kost relatief veel tijd en kan niet door patiënt zelfstandig uitgevoerd worden. De Test Your Memory-test (TYM) is een potentieel alternatief. In dit onderzoek worden uitkomsten van de TYM en de MMSE vergeleken met een neuropsychologisch onderzoek (NPO) in een populatie die niet met klinisch relevante cognitieve stoornissen bekend was.
Mensen zonder bekende cognitieve stoornissen, ondergingen een NPO inclusief MMSE en een TYM. De relatie tussen de TYM, de MMSE en een NPO werd onderzocht met correlatieanalyses, ROC-curves voor discriminatie tussen ‘normale’ cognitie en ‘lichte cognitieve tekorten’ (≥ 1 SD onder het gemiddelde), en bland-altmanplots.
86 mensen vulden de TYM in (gemiddelde leeftijd 69 jaar; 59% man). De correlatie met een volledig NPO was significant sterker voor de TYM dan de MMSE (r = 0,78 versus r = 0,55; Steiger’s Z = 2,66, p 0,01). De oppervlakte onder de ROC-curve was 0,88 (TYM) versus 0,71 (MMSE). Bland-altmanplots laten zien dat de TYM beter overeenkomt met het NPO dan de MMSE.
De TYM komt beter overeen met een NPO dan de MMSE en maakt een beter onderscheid tussen ‘lichte cognitieve tekorten’ en normaal cognitief functioneren. Hiermee is de TYM een veelbelovende test voor gebruik in de huisartsenpraktijk.

Wat is bekend?

  • De Mini-Mental State Examination (MMSE) is de meest gebruikte cognitieve screeningstest, maar kost relatief veel tijd.
  • De Test Your Memory-test (TYM) presteert goed op een geheugenpoli en is een mogelijk alternatief voor de MMSE.

Wat is nieuw?

  • De TYM is gebruiksvriendelijker en maakt beter onderscheid tussen kleine variaties in cognitie bij mensen zonder duidelijke cognitieve klachten dan de MMSE.

Inleiding

Cognitieve tests kunnen worden gebruikt om cognitief verval te onderzoeken, dementie op te sporen en de effecten van een behandeling te evalueren. De Mini-Mental State Examination (MMSE) is de meest gebruikte test om dementie op te sporen en wordt ook aanbevolen in de NHG-Standaard Dementie.1 De MMSE neemt echter relatief veel tijd in beslag en de uitslagen zijn niet altijd betrouwbaar.23 Onlangs is de Test Your Memory-test (TYM) ontwikkeld. Deze test meet een aantal cognitieve domeinen en kan door de patiënt zelf in ongeveer vijf minuten worden ingevuld. De TYM is onderzocht op een geheugenpoli en bleek daar goed onderscheid te kunnen maken tussen dementie, ‘mild cognitive impairment’ (MCI) en normale cognitie.4 De TYM is dus een mogelijk alternatief voor de MMSE in de huisartsenpraktijk.
Tegenwoordig wordt, onder andere in de NHG-Standaard Diabetes mellitus type 2, geadviseerd om bij het opstellen van een behandelplan altijd rekening te houden met het cognitief functioneren van de patiënt, ook als er geen tekenen van dementie zijn. De huisarts ziet meer patiënten die lichte cognitieve klachten hebben. De definitie van ‘lichte cognitieve stoornissen’ is echter niet eenduidig,1 en om MCI vast te stellen is de MMSE een te grof instrument. De variatie in het niveau van cognitief functioneren in de huisartsenpraktijk verschilt van die op een geheugenpoli, er zijn relatief meer patiënten met een ‘normale’ cognitie. Een nieuwe cognitieve test zou daarom onderscheid moeten kunnen maken tussen deze lichte variaties in cognitief functioneren.
Ons onderzoek had tot doel de betrouwbaarheid van de TYM en de MMSE ten opzichte van een neuropsychologisch onderzoek (NPO) te onderzoeken in een populatie zonder duidelijke cognitieve stoornissen.

Methode

Deelnemers

Wij selecteerden onze deelnemers uit de Nederlandse onderzoekspopulatie van het ADDITION-onderzoek. Het ADDITION-onderzoek omvatte patiënten van 50-70 jaar in Deense, Nederlandse en Britse huisartsenpraktijken bij wie door screening diabetes mellitus type 2 was ontdekt, en was met name gericht op de effecten van ruim 5 jaar intensieve behandeling op cardiovasculaire uitkomsten.56 In een deelonderzoek is de cognitie in kaart gebracht van een deel van de Nederlandse patiënten met diabetes of een gestoorde glucosetolerantie (IFG).7 In dat deelonderzoek is ook het cognitief functioneren van de partners, die zelf een normaal glucosegehalte hadden, onderzocht. Exclusiecriteria waren een eerdere diagnose dementie, een voorgeschiedenis met een psychiatrische of neurologische ziekte die het cognitief functioneren kan beïnvloeden, alcohol- of drugsmisbruik, of niet in staat zijn een NPO te volbrengen. Na het NPO, inclusief MMSE, werd de deelnemers gevraagd ook de TYM in te vullen.

Neuropsychologisch onderzoek en MMSE

Het NPO bestond uit twaalf verbale en non-verbale taken, verdeeld over zes domeinen (geheugen, informatieverwerkingssnelheid, aandacht en executief functioneren, abstract redeneren, visuoconstructie en taal). Een uitgebreide beschrijving van de gebruikte tests is te vinden in onze oorspronkelijke publicatie.8 Wij standaardiseerden de ruwe testscores tot z-scores per test en berekenden de gemiddelde z-score per domein. Een samengestelde score werd berekend door alle domeinen samen te voegen.
Aan het eind van het NPO namen wij de MMSE af, die uit 11 taken bestaat: oriëntatie (10 punten), registreren van woorden (3 punten), aandacht (5 punten), geheugen (3 punten), taal (8 punten) en visueel inzicht (1 punt). De maximale score is 30 punten; een lagere score betekent een slechter cognitief functioneren. Een score van 24 of lager wordt meestal opgevat als aanwijzing voor een cognitieve stoornis.

Test Your Memory-test

De TYM onderzoekt verschillende cognitieve functies.4 De test bestaat uit 10 taken, die de patiënt zelfstandig kan uitvoeren met pen en papier in ongeveer 5 minuten. De taken omvatten: oriëntatie (10 punten), kopiëren van een zin (2 punten), taal (3 punten), rekenen (4 punten), vloeiend taalgebruik (4 punten), gelijkenissen (4 punten), benoemen (5 punten), visuospatiële mogelijkheden (2 taken; 7 punten) en herinneren van een gekopieerde zin (6 punten). Het uitvoeren van de test zonder hulp is een 11e ‘taak’, die meetelt voor 5 punten. De maximale score is 50 punten, waarbij een lagere score een slechter cognitief functioneren betekent.
Op de geheugenpoli heeft de TYM, bij een afkappunt van ≤ 42 punten, een specificiteit van 86%, een sensitiviteit van 93%, een positief voorspellende waarde van 42% en een negatief voorspellende waarde van 99%.4 De prevalentie van cognitieve stoornissen is op een geheugenpoli echter hoger dan in de huisartsenpraktijk, dus deze waarden zijn niet rechtstreeks te extrapoleren naar de huisartsenpraktijk.

Statistische analyse

Verschillen in demografische gegevens en cognitieve scores bepaalden wij met de chikwadraattoets, de t-toets en de mann-whitney-U-toets. De relatie tussen de TYM, de MMSE en het NPO bekeken wij op drie manieren.
Voor de correlaties tussen TYM, MMSE en de zes domeinen plus de samengestelde score van het NPO bepaalden wij de spearmancorrelatiecoëfficiënten. Vervolgens toetsten wij in een directe vergelijking of de correlatie van de TYM met de samengestelde score van het NPO sterker was dan die van de MMSE met de samengestelde score van het NPO. Daarvoor gebruikten wij de steiger-z-toets.9
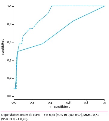
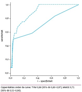
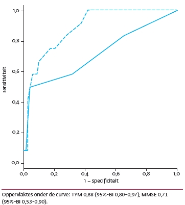
Om te onderzoeken of de TYM onderscheid kan maken in lichte variaties van cognitief functioneren, verdeelden wij de deelnemers daarna in twee groepen op basis van het NPO, een groep met ‘lichte cognitieve tekorten’ (≥ 1 SD onder het gemiddelde van de hele groep) en een groep met ‘normale’ cognitie. De groep met ‘lichte cognitieve tekorten’ scoorde dus relatief het slechtst op het NPO, zonder dat er noodzakelijk sprake is van een stoornis zoals MCI. Vervolgens bepaalden wij de ‘receiver-operating characteristic’ (ROC-curves) van de MMSE en de TYM om het discriminerend vermogen van beide tests te vergelijken. Omdat is aangetoond dat een hoge correlatie tussen twee instrumenten niet altijd betekent dat de twee ook hetzelfde meten,10 zetten wij in een bland-altmanplot het gemiddelde van twee metingen (x-as) uit tegen het verschil tussen de twee metingen (y-as), alle gestandaardiseerd in z-scores met 95%-grenzen van overeenkomst. De grafiek geeft weer hoe goed de TYM dan wel de MMSE overeenkomt met het NPO. Een smal 95%-interval betekent een betere overeenkomst. De bland-altmanplots zijn na te slaan in het oorspronkelijke artikel.8

Resultaten

Deelnemers

De TYM werd ingevuld door 86 deelnemers, van wie er 46 diabetes hadden, 11 IFG en 29 een normaal glucose. Bij 81 deelnemers werd ook een MMSE afgenomen (bij 5 deelnemers ontbrak deze test door tijdgebrek).
De gemiddelde leeftijd was 65,8 ± 5,4 jaar; 59% was man. De mediane TYM-score was 44 (interkwartielafstand 42-48) en de mediane MMSE-score was 29 (interkwartielafstand 28-30). Eén deelnemer had een MMSE lager dan 24, niemand voldeed aan de criteria van dementie.

Correlatie met NPO

De [tabel] toont de correlaties van TYM en MMSE met het NPO en onderling. De TYM heeft een sterke correlatie met het NPO (r = 0,78; p &lt 0,001), de MMSE een zwakkere (r = 0,55; p &lt 0,001). In een directe vergelijking bleken deze correlaties significant van elkaar te verschillen (steiger-z = 2,66; p = 0,008).
TabelCorrelaties tussen de Test Your Memory test (TYM), de Mini-Mental State Examination (MMSE) en het neuropsychologisch onderzoek (NPO)
NPO TYM MMSE
r p r p
Samengestelde score0,780,55
Geheugen0,440,38
Informatieverwerkingssnelheid0,660,380,001
Aandacht en executief functioneren0,610,370,001
Abstract redeneren0,540,42
Visuoconstructie0,440,0010,270,02
Taal0,670,52
MMSE0,49
p = power (

Discriminerend vermogen

Deelnemers werden in twee groepen verdeeld om te onderzoeken hoe beide tests discrimineren tussen ‘lichte cognitieve tekorten’ en ‘normale’ cognitie. Vergeleken met de 73 deelnemers met ‘normale cognitie’ waren de 13 deelnemers met ‘lichte cognitieve tekorten’ significant ouder (69,8 ± 3,9 versus 65,1 ± 5,4 jaar; p = 0,001) en vaker man (84,6% versus 54,8%; p = 0,04).
Zowel de TYM- als de MMSE-score was significant lager in de groep met ‘lichte cognitieve tekorten’. De gemiddelde TYM-score was 38 (interkwartielafstand 36-43) versus 46 punten (interkwartielafstand 43-48) (p &lt 0,001), de gemiddelde MMSE-score was 28 (interkwartielafstand 27-29) versus 29 punten (interkwartielafstand 28-30) (p = 0,01).
De oppervlakte onder de ROC-curve van de TYM was 0,88 (95%-BI 0,80-0,97), die van de MMSE was 0,71 (95%-BI 0,53-0,90) [figuur], wat wijst op een groter discriminerend vermogen van de TYM.

Overeenstemming met NPO

Op de bland-altmanplots bleek de overeenkomst tussen de TYM en het NPO sterker dan die tussen de MMSE en het NPO. Voor de TYM waren de grenzen nauwer (–1,10 tot 1,10) dan voor de MMSE (–1,39 tot 1,38). Wel onderschat de TYM het cognitief functioneren enigszins bij een slechtere cognitie en overschat de test de cognitie juist bij een betere cognitie.

Beschouwing

Ons onderzoek laat zien dat de TYM beter correleert met een volledig NPO dan de MMSE wanneer mensen nog geen cognitieve stoornis hebben. Bovendien onderscheidt de TYM mensen met milde cognitieve beperkingen binnen het spectrum van normaal cognitief functioneren beter dan de MMSE.
Drie eerdere onderzoeken laten zien dat de TYM op een geheugenpoli net zo goed presteert als de MMSE, en in twee van de drie deed de TYM het zelfs beter.41112
De ontwerpers van de TYM adviseerden voor de ziekte van Alzheimer een afkappunt van 42 punten aan te houden (anderen hebben voor dementie een afkappunt van 30 punten voorgesteld),11 en als score voor normale cognitie 47 punten voor mensen van 18-70 jaar en 46 punten voor mensen van 70-80 jaar.4 Aangezien ons onderzoek is uitgevoerd in een populatie zonder dementie konden deze afkappunten niet gevalideerd worden. Ons doel was het meten van variatie in cognitief functioneren, en te onderzoeken of de TYM beter in staat is het onderscheid te maken tussen normale cognitie en een licht cognitietekort dan de MMSE. In een meta-analyse bleek de MMSE slechts 63% van de mensen met een MCI te onderscheiden van mensen die cognitief normaal functioneerden.13 Met andere woorden: de MMSE is niet erg goed in het opsporen van lichte cognitieve tekorten en huisartsen die de MMSE gebruiken, kunnen daardoor in hun behandelplannen te weinig rekening houden met die tekorten, zoals de nieuwe richtlijnen adviseren. In ons onderzoek scoorde de TYM hierin beter.
Onze afkapwaarde van 1 SD voor het categoriseren van ‘milde beperkingen’ is arbitrair en gebaseerd op het aantal deelnemers dat nodig was om de analyses te kunnen uitvoeren. Omdat de ROC-curve echter niet veranderde wanneer wij andere afkappunten gebruikten, concluderen wij dat de TYM een goed alternatief kan zijn voor de MMSE. Wel laten de bland-altmanplots zien dat de TYM het neuropsychologisch onderzoek niet zomaar kan vervangen. De test geeft alleen een indicatie van het cognitief functioneren.
Ons onderzoek laat geen conclusies toe over de prestaties van de TYM in een populatie met (ernstige) cognitieve stoornissen. Een andere mogelijke beperking is dat diabetespatiënten sterk oververtegenwoordigd waren in onze onderzoekspopulatie. Het is mogelijk dat de prevalentie van cognitieve tekorten in deze patiëntengroep hoger is dan gemiddeld. Wij denken echter dat dit eerder gezorgd zal hebben voor meer contrast in het spectrum van cognitieve beperkingen, zowel in het NPO als in beide tests. Een sensitiviteitsanalyse met correctie voor diabetesstatus beïnvloedde de resultaten niet.

Conclusie

De TYM is gebruiksvriendelijk, stemt meer overeen met het uitgebreide NPO en spoort kleine variaties in cognitie bij mensen zonder duidelijke cognitieve klachten beter op dan de MMSE. De TYM is een veelbelovende test voor het opsporen van patiënten met MCI in de eerste lijn. Het is belangrijk dat huisartsen meer rekening houden met lichte cognitieve klachten, omdat die van invloed kunnen zijn op de behandeling. De TYM kan daarbij goede diensten bewijzen, overigens zonder een uitgebreid NPO te kunnen vervangen.
Het is nog niet bekend hoe goed de TYM het doet ten opzichte van de MMSE en het NPO bij mensen met een matige tot ernstige cognitieve stoornis. Onderzoek dat wij momenteel doen, zal hopelijk duidelijk maken of de TYM in de huisartsenpraktijk inderdaad bruikbaar is voor het opsporen van het hele scala van cognitieve stoornissen.

Literatuur

  • 1.Moll van Charante E, Perry M, Vernooij-Dassen MJFJ, Boswijk DFR, Stoffels J, Achthoven L, Luning-Koster MN. NHG-Standaard Dementie (derde herziening). Huisarts Wet 2012;55:306-17.
  • 2.Eefsting JA, Boersma F, Van Tilburg W, Van Den Brink W. Bruikbaarheid van de ‘Mini-mental state examination’ voor het vaststellen van dementie; onderzoek naar de criteriumvaliditeit in een Nederlandse plattelandspopulatie. Ned Tijdschr Geneeskd 1997;141:2066-70.
  • 3.Wind AW, Schellevis FG, Van Staveren G, Scholten RP, Jonker C, Van Eijk JT. Limitations of the Mini-Mental State Examination in diagnosing dementia in general practice. Int J Geriatr Psychiatry 1997;12:101-8.
  • 4.Brown J, Pengas G, Dawson K, Brown LA, Clatworthy P. Self administered cognitive screening test (TYM) for detection of Alzheimer’s disease: cross sectional study. BMJ 2009;338:b2030.
  • 5.Griffin SJ, Borch-Johnsen K, Davies MJ, Khunti K, Rutten GE, Sandbaek A, et al. Effect of early intensive multifactorial therapy on 5-year cardiovascular outcomes in individuals with type 2 diabetes detected by screening (ADDITION-Europe): a cluster-randomised trial. Lancet 2011;378:156-67.
  • 6.Janssen PG, Gorter KJ, Stolk RP, Rutten GE. Populatiescreening op diabetes mellitus type 2 levert weinig op. Huisarts Wet 2009;52:225-30.
  • 7.Koekkoek PS, Ruis C, Van den Donk M, Biessels GJ, Gorter KJ, Kappelle LJ, et al. Intensive multifactorial treatment and cognitive functioning in screen-detected type 2 diabetes--The ADDITION-Netherlands study: A cluster-randomized trial. J Neurol Sci 2012;314:71-7.
  • 8.Koekkoek PS, Rutten GE, Van den Berg E, Van Sonsbeek S, Gorter KJ, Kappelle LJ, et al. The ‘Test Your Memory’ test performs better than the MMSE in a population without known cognitive dysfunction. J Neurol Sci 2013;328:92-7.
  • 9.Steiger JH. Tests for comparing elements of a correlation matrix. Psychol Bull 1980;87:245-51.
  • 10.Bland JM, Altman DG. Statistical methods for assessing agreement between two methods of clinical measurement. Lancet 1986;1:307-10.
  • 11.Hancock P, Larner AJ. Test Your Memory test: diagnostic utility in a memory clinic population. Int J Geriatr Psychiatry 2011;26:976-80.
  • 12.Hanyu H, Maezono M, Sakurai H, Kume K, Kanetaka H, Iwamoto T. Japanese version of the Test Your Memory as a screening test in a Japanese memory clinic. Psychiatry Res 2011;190:145-8.
  • 13.Mitchell AJ. A meta-analysis of the accuracy of the mini-mental state examination in the detection of dementia and mild cognitive impairment. J Psychiatr Res 2009;43:411-31.

Reacties

Er zijn nog geen reacties.