Wetenschap

Depressie bij ouderen behandelen zonder medicatie

Ouderen met depressieve klachten worden meestal behandeld door de huisarts. Dat gebeurt overwegend met antidepressiva, hoewel een niet-farmacologische behandeling de voorkeur heeft.
0 reacties

Samenvatting

Inleiding

Ouderen met depressieve klachten worden meestal behandeld door de huisarts. Dat gebeurt overwegend met antidepressiva, hoewel een niet-farmacologische behandeling de voorkeur heeft. Wij deden een systematisch literatuuronderzoek en een meta-analyse van onderzoeken naar niet-farmacologische behandelingen van depressie bij ouderen in de eerste lijn.

Methode

We doorzochten drie databases met als zoektermen ‘huisartsenpraktijk’, ‘ouderen’, ‘depressie’ en ‘niet-farmacologische behandeling’. We includeerden alle onderzoeken met empirische data over de behandeling van depressie bij 60-plussers.

Resultaten

We includeerden elf onderzoeken in de eerste lijn naar de effecten van cognitieve gedragstherapie, beweging, problem-solving treatment, gedragsactivatie en lichttherapie. Uit de meta-analyse van vier onderzoeken (n = 445) bleek een klein effect van cognitieve gedragstherapie. Eén onderzoek (n = 89) liet een effect zien van lichttherapie. Blijkens achttien onderzoeken in de algemene bevolking, alle met een korte follow-upduur, zijn bibliotherapie, life-review en problem-solving treatment veelbelovend.

Conclusie

Cognitieve gedragstherapie heeft bij oudere huisartspatiënten met depressieve klachten een klein positief effect, vergelijkbaar met dat van antidepressiva. Andere behandelingen zijn veelbelovend, maar hun toepasbaarheid in de eerste lijn moet nog nader onderzocht worden.

Cognitieve gedragstherapie is voor depressieve ouderen even effectief als antidepressiva.
Cognitieve gedragstherapie is voor depressieve ouderen even effectief als antidepressiva.

Wat is nieuw?

  • Cognitieve gedragstherapie is voor depressieve ouderen in de eerste lijn even effectief als antidepressiva.

  • De werkzaamheid van life-review, problem-solving treatment en bibliotherapie bij ouderen in de algemene bevolking is bewezen, maar nog niet goed onderzocht bij oudere huisartspatiënten.

Wat is bekend?

  • De meeste Nederlanders die op latere leeftijd depressieve klachten krijgen, worden in de huisartsenpraktijk behandeld.

  • Ondanks de aanbevelingen in de NHG-Standaard zijn antidepressiva toch de meest toegepaste behandeling bij ouderen.

  • Het gebruik van antidepressiva kan leiden tot polyfarmacie, interacties met andere medicijnen en cognitieve en fysieke achteruitgang.

Inleiding

De meeste Nederlanders die op latere leeftijd depressieve klachten krijgen, worden in de huisartsenpraktijk behandeld.1 Van de 60-plussers die de huisarts bezoeken, ongeacht de reden, heeft ongeveer één op de tien een depressie.2 De NHG-Standaard Depressie raadt antidepressiva niet als eerste keuze aan, maar bij ouderen met een depressie zijn ze toch de meest toegepaste behandeling.34 Dat heeft grote nadelen: naast het gevaar van polyfarmacie en potentiële interacties met andere medicijnen hebben antidepressiva anticholinerge en sedatieve eigenschappen die geassocieerd zijn met cognitieve en fysieke achteruitgang.5678 Niet-farmacologische behandelingen zijn dus verreweg te verkiezen. Wij deden een literatuuronderzoek waarin we ons de vraag stelden: welke niet-farmacologische behandelingen zijn effectief in het verminderen van depressieve klachten bij ouderen in de eerste lijn?

Methode

In drie databases (PubMed, PsychINFO en het Cochrane Central Register of Controlled Trials) zochten we naar empirische onderzoeken, met de zoektermen ‘general practice’, ‘older adults’, ‘depression’ en ‘non-pharmacological treatment’. Voor de exacte methode verwijzen we naar ons oorspronkelijke artikel.9

Resultaten

Onze zoekstrategie leverde 4027 titels op, waarvan we er 31 includeerden. Deze 31 artikelen beschreven 29 unieke onderzoeken: 27 randomized controlled trials (RCT’s) en 2 cohortonderzoeken.

Tien RCT’s en één cohortonderzoek vonden plaats in de eerste lijn. Vijf van deze elf keken naar cognitieve gedragstherapie (CGT), twee naar beweging, één naar problem-solving treatment (PST), één naar een combinatie van CGT en bibliotherapie, één naar gedragsactivatie en één naar lichttherapie.

Zeventien RCT’s en één cohortonderzoek hadden betrekking op de algemene bevolking. Van deze achttien keken er drie naar CGT, vier naar bibliotherapie, vier naar beweging, drie naar life-review, drie naar PST en één naar het ontvangen van ansichtkaarten. Eén onderzoek vergeleek cognitieve therapie, gedragstherapie en psychodynamische therapie.

Bibliotherapie en life-review

Er zijn meerdere definities van het begrip ‘bibliotherapie’. De meest gangbare zijn ‘het gebruik van geselecteerde lectuur als therapeutisch hulpmiddel’ en ook ‘begeleiding bij het oplossen van persoonlijke problemen door gericht lezen’.10

Life-review is een methodische herwaardering van de eigen levensloop, met speciale aandacht voor emotionele herinneringen. De patiënt leert die herinneringen te bekijken vanuit een ander, meer aanvaardend en betekenisvol perspectief, en ontwikkelt zo een positiever zelfbeeld.11

Depressieve klachten in de eerste lijn

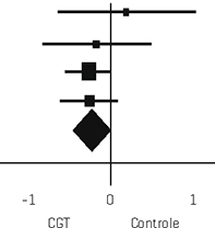
Eén van de vijf onderzoeken naar CGT rapporteerde geen gestandaardiseerd gemiddeld verschil (SMD) in de depressiescore voor en na behandeling.1213141516 Op de overige vier voerden we een meta-analyse uit (n = 474 direct na behandeling, n = 445 na 6-9 maanden). Uit de [tabel] valt af te leiden dat er direct na de behandeling geen significant verschil was tussen de depressiescore van patiënten die de gebruikelijke behandeling kregen en patiënten die CGT kregen. De SMD was –0,16, met een 95%-betrouwbaarheidsinterval (95%-BI) van –0,34 tot 0,02. Zes tot negen maanden na afloop van de behandeling waren de depressiescores in de CGT-groep iets lager (SMD –0,21; 95% BI –0,40 tot –0,03). De kwaliteit van de vier onderzoeken varieerde van goed tot matig.

Eén RCT van goede kwaliteit (n = 89) naar lichttherapie toonde een positief effect aan direct na de behandeling en na zes weken follow-up.17 Een cohortonderzoek (n = 14) liet zien dat gedragsactivatie leidt tot minder depressieve klachten na vier weken follow-up.18

De andere in de eerste lijn onderzochte behandelingen – PST, beweging en op CGT gebaseerde bibliotherapie – hadden geen aantoonbaar positief effect, waarbij moet worden opgemerkt dat PST werd vergeleken met farmacotherapie.19202122

Depressieve klachten in de algemene bevolking

Bij ouderen in de algemene bevolking zijn CGT, bibliotherapie en PST effectief gebleken tegen depressieve klachten.23242526272829303132 Gedragstherapie, cognitieve therapie en korte psychodynamische therapie bleken effectiever dan een wachtlijstconditie.33 De onderzoeken in kwestie waren van goede tot matige kwaliteit, de follow-upduur was kort.

Life-review werd eveneens effectief bevonden, maar deze onderzoeken waren van slechte tot matige kwaliteit.343536 De onderzoeken naar beweging en naar het ontvangen van ansichtkaarten konden geen effectiviteit aantonen.2337383940

Beschouwing

In de huisartsenpraktijk valt bij oudere patiënten met depressieve klachten een klein positief effect te verwachten van cognitieve gedragstherapie, vergelijkbaar met het effect van antidepressiva.41 Daarnaast toonde één onderzoek een effect van lichttherapie aan.

In de algemene bevolking zijn positieve effecten gevonden van verschillende behandelingen bij depressieve klachten, zoals life-review, PST en bibliotherapie. Deze behandelingen kunnen in principe ook door een huisarts of poh-ggz gegeven worden. De effectiviteit van PST tegen depressieve klachten is bewezen in de algemene bevolking én bij 18- tot 65-jarige huisartspatiënten.30313242 Het zou daarom de moeite waard zijn deze therapie ook te onderzoeken bij oudere huisartspatiënten met een depressie, en datzelfde geldt voor bibliotherapie en life review.

Beperkingen en voorbehouden

Ons literatuuronderzoek had een aantal beperkingen. De geïncludeerde onderzoeken hanteerden verschillende definities bij de inclusie – in sommige werden de deelnemers geïncludeerd na een diagnostisch interview, in andere na een verhoogde score op een screeningslijst. Het is te betwijfelen of deze diagnostiek rechtstreeks te vertalen is naar de spreekkamer. Er waren ook andere beperkingen: de in de eerste lijn uitgevoerde onderzoeken hadden kleine onderzoekspopulaties en de onderzoeken in de algemene bevolking hadden een korte follow-upduur.

De effectiviteit van de hier besproken behandelingen hangt ook af van de therapeut

De resultaten uit de onderzoeken die werden uitgevoerd in de algemene bevolking kunnen niet rechtstreeks worden vertaald naar de huisartsenpraktijk, alleen al omdat ze grotendeels betrekking hebben op zelfverwijzers, die op eigen initiatief behandeling zochten voor hun depressieve klachten. Het is bekend dat oudere huisartspatiënten met depressieve klachten hierin juist terughoudend zijn en niet snel hulp zoeken.44

Aanbevelingen

De NHG-Standaard Depressie, die vooral gebaseerd is op onderzoek onder volwassenen, adviseert depressieve klachten in eerste instantie te behandelen met voorlichting, dagstructurering en activiteitenplanning, en in het geval van een depressieve stoornis ook een kortdurende psychologische behandeling te geven.3 Ons literatuuronderzoek laat zien dat bij ouderen cognitief-gedragstherapeutische technieken wellicht de beste basis zijn voor zo’n kortdurende psychologische behandeling. We vonden geen RCT’s die betrekking hadden op voorlichting, dagstructurering en activiteitenplanning bij ouderen. Het effect van dagstructurering en activiteitenplanning (behavioural activation) bij depressieve ouderen in de eerste lijn wordt momenteel onderzocht in een RCT.43

Tot slot is het goed te bedenken dat de effectiviteit van de hier aangehaalde behandelingen ook afhangt van de therapeut. Van de onderzochte behandelingen in de eerste lijn werd een derde gegeven door een psycholoog, van de behandelingen in de algemene bevolking bijna de helft. In hoeverre zulke therapieën inzetbaar zijn in de huisartsenpraktijk, zal zeker afhangen van de vaardigheden van de huisarts of de poh-ggz.

Conclusie

Cognitieve gedragstherapie heeft een klein positief effect op depressie bij oudere patiënten in de eerste lijn, vergelijkbaar met het effect van antidepressiva. Veel andere niet-medicamenteuze behandelingen lijken veelbelovend als ze gegeven worden door goedgetrainde therapeuten, maar er is te weinig onderzoek van goede kwaliteit verricht om definitieve conclusies te trekken.

: Tabel Meta-analyse van onderzoeken naar cognitieve gedragstherapie bij depressie in de eerste lijn: depressiescore
  CGT Controle Gewicht SMD (95%-BI)  
Onderzoek gem. SD n gem. SD N      
Na behandeling (n = 474)*
Arean 200512 (6 mnd) 13,28 10,52 13 12,09  8,83 20 6,7%  0,12 (–0,58 tot 0,82)  
Laidlaw 200813 (18 wk)  5,25  4,28 20  7,75  6,05 20 8,3% –0,47 (–1,1 tot 0,16)
Lamers 201014 (7 wk) 16,18  7,44 128 17,17  7,07 136 56,0% –0,14 (–0,38 tot 0,11)
Serfaty 200915 (4 mnd) 18,4 10,8 70 20,3 11,3 67 29,0% –0,17 (–0,51 tot 0,16)
Totaal               –0,16 (–0,34 tot 0,02)
Na follow-up (n = 445)
Arean 200512 (6 mnd) 13,49 10,87 13 11,56  9,86 20 6,7%  0,18 (–0,6 tot 0,97)  
Laidlaw 200813 (6 mnd)  6,7  5,03 20  7,55  6,13 20 8,3% –0,15 (–0,77 tot 0,47)
Lamers 201014 (9 mnd) 15,91  9,07 128 18  7,46 136 56,0% –0,25 (–0,51 tot 0)
Serfaty 200915 (6 mnd) 18,3 10,6 70 20,8 10,5 67 29,0% –0,24 (–0,57 tot 0,1)
Totaal               –0,21 (–0,4 tot –0,03)

Literatuur

  • 1.Wang PS, Aguilar-Gaxiola S, Alonso J, Angermeyer MC, Borges G, Bromet EJ, et al. Use of mental health services for anxiety, mood, and substance disorders in 17 countries in the WHO world mental health surveys. Lancet 2007;370:841-50.
  • 2.Licht-Strunk E, Van der Kooij KG, Van Schaik DJ, et al. Prevalence of depression in older patients consulting their general practitioner in The Netherlands. Int J Geriatr Psychiatry 2005;20:1013-9.
  • 3.Van Weel-Baumgarten EM, Van Gelderen MG, Grundmeijer HGLM, et al. NHG-Standaard Depressie (tweede herziening). Huisarts Wet 2012;55:252-9.
  • 4.Verhaak PF, Van Dijk CE, Nuijen J, Verheij RA, Schellevis FG. Mental health care as delivered by Dutch general practitioners between 2004 and 2008. Scand J Prim Health Care 2012;30:156-162.
  • 5.Holvast F, Van Hattem BA, Sinnige J, et al. Late-life depression and the association with multimorbidity and polypharmacy: A cross-sectional study. Fam Pract 2017;34:539-45.
  • 6.Caughey GE, Roughead EE, Shakib S, McDermott RA, Vitry AI, Gilbert AL. Comorbidity of chronic disease and potential treatment conflicts in older people dispensed antidepressants. Age Ageing 2010;39:488-94.
  • 7.Mulsant BH, Pollock BG, Kirshner M, Shen C, Dodge H, Ganguli M. Serum anticholinergic activity in a community-based sample of older adults: Relationship with cognitive performance. Arch Gen Psychiatry 2003;60:198-203.
  • 8.Landi F, Russo A, Liperoti R, Cesari M, Barillaro C, Pahor M, et al. Anticholinergic drugs and physical function among frail elderly population. Clin Pharmacol Ther 2007;81:235-41.
  • 9.Holvast F, Massoudi B, Oude Voshaar RC, Verhaak PFM. Non-pharmacological treatment for depressed older patients in primary care: A systematic review and meta-analysis. PLoS One 2017;12:e0184666.
  • 10.Bremer GJ. Bibliotherapie: ‘Lezen helpt genezen’ . Ned Tijdschr Geneeskd 1987;131:2396-9.
  • 11.Bohlmeijer E, Steunenberg B, Leontjevas R, Mahler M, Daniël R, Gerritsen D. Dierbare herinneringen. Protocol voor individuele life-review therapie gebaseerd op autobiografische oefening. Enschede: Universiteit Twente, 2010.
  • 12.Arean PA, Gum A, McCulloch CE, Bostrom A, Gallagher-Thompson D, Thompson L. Treatment of depression in low-income older adults. Psychol Aging 2005;20:601-9.
  • 13.Laidlaw K, Davidson K, Toner H, Jackson G, Clark S, Law J, et al. A randomised controlled trial of cognitive behaviour therapy vs treatment as usual in the treatment of mild to moderate late life depression. Int J Geriatr Psychiatry 2008;23:843-50.
  • 14.Lamers F, Jonkers CC, Bosma H, Kempen GI, Meijer JA, Penninx BW, et al. A minimal psychological intervention in chronically ill elderly patients with depression: A randomized trial. Psychother Psychosom 2010;79:217-26.
  • 15.Serfaty MA, Haworth D, Blanchard M, Buszewicz M, Murad S, King M. Clinical effectiveness of individual cognitive behavioral therapy for depressed older people in primary care: A randomized controlled trial. Arch Gen Psychiatry 2009;66:1332-40.
  • 16.García-Peña C, Vázquez-Estupiñan F, Avalos-Pérez F, Jiménez L,Viridiana Robles, Sánchez-Garcia S, Juárez-Cedillo T. Clinical effectiveness of group cognitive-behavioural therapy for depressed older people in primary care: A randomised controlled trial. Salud Mental 2015;38:33-9.
  • 17.Lieverse R, Van Someren EJ, Nielen MM, Uitdehaag BM, Smit JH, Hoogendijk WJ. Bright light treatment in elderly patients with nonseasonal major depressive disorder: A randomized placebo-controlled trial. Arch Gen Psychiatry 2011;68:61-70.
  • 18.Gum AM, Schonfeld L, Tyler S, Fishleder S, Guerra L. One-visit behavioral intervention for older primary care patients with mild to moderate depressive symptoms. South Med J 2016;109:442-7.
  • 19.Williams JWJ, Barrett J, Oxman T, Frank E, Katon W, Sullivan M, et al. Treatment of dysthymia and minor depression in primary care: A randomized controlled trial in older adults. JAMA 2000;284:1519-26.
  • 20.Singh NA, Stavrinos TM, Scarbek Y, Galambos G, Liber C, Fiatarone SMA. A randomized controlled trial of high versus low intensity weight training versus general practitioner care for clinical depression in older adults. J Gerontol A Biol Sci Med Sci 2005;60:768-76.
  • 21.Sims J, Hill K, Davidson S, Gunn J, Huang N. Exploring the feasibility of a community-based strength training program for older people with depressive symptoms and its impact on depressive symptoms. BMC Geriatrics 2006;6:18.
  • 22.Joling KJ, Van Hout, Hein PJ, Van’t Veer-Tazelaar PJ, Van der Horst HE, Cuijpers P, Van de Ven PM, et al. How effective is bibliotherapy for very old adults with subthreshold depression? A randomized controlled trial. Am J Geriatr Psychiatry 2011;19:256-65.
  • 23.Huang TT, Liu CB, Tsai YH, Chin YF, Wong CH. Physical fitness exercise versus cognitive behavior therapy on reducing the depressive symptoms among community-dwelling elderly adults: A randomized controlled trial. Int J Nurs Stud 2015;52:1542-52.
  • 24.Titov N, Dear BF, Ali S, Zou JB, Lorian CN, Johnston L, et al. Clinical and cost-effectiveness of therapist-guided internet-delivered cognitive behavior therapy for older adults with symptoms of depression: A randomized controlled trial. Behav Ther 2015;46:193-205.
  • 25.Wuthrich VM, Rapee RM. Randomised controlled trial of group cognitive behavioural therapy for comorbid anxiety and depression in older adults. Behav Res Ther 2013;51:779-86.
  • 26.Floyd M, Scogin F, McKendree-Smith NL, Floyd DL, Rokke PD. Cognitive therapy for depression: A comparison of individual psychotherapy and bibliotherapy for depressed older adults. Behav Modif 2004;282:297-318.
  • 27.Moss K, Scogin F, Napoli E, Presnell A. A self-help behavioral activation treatment for geriatric depressive symptoms. Aging Ment Health 2012;16:625-35.
  • 28.Scogin F, Jamison C, Gochneaur K. Comparative efficacy of cognitive and behavioral bibliotherapy for mildly and moderately depressed older adults. J Consult Clin Psychol 1989;57:403-7.
  • 29.Scogin F, Hamblin D, Beutler L. Bibliotherapy for depressed older adults: A self-help alternative. Gerontologist 1987;27:383-7.
  • 30.Ciechanowski P, Wagner E, Schmaling K, Schwartz S, Williams B, Diehr P, et al. Community-integrated home-based depression treatment in older adults: A randomized controlled trial. JAMA. 2004;291:1569-77.
  • 31.Kiosses DN, Arean PA, Teri L, Alexopoulos GS. Home-delivered problem adaptation therapy (PATH) for depressed, cognitively impaired, disabled elders: A preliminary study. Am J Geriatr Psychiatry 2010;18:988-98.
  • 32.Kiosses DN, Ravdin LD, Gross JJ, Raue P, Kotbi N, Alexopoulos GS. Problem adaptation therapy for older adults with major depression and cognitive impairment: A randomized clinical trial. JAMA Psychiatry. 2015;72:22-30.
  • 33.Thompson LW, Gallagher D, Breckenridge JS. Comparative effectiveness of psychotherapies for depressed elders. J Consult Clin Psychol 1987;55:385-90.
  • 34.Chan MF, Ng SE, Tien A, Man Ho RC, Thayala J. A randomised controlled study to explore the effect of life story review on depression in older Chinese in Singapore. Health Soc Care Community 2013;21:545-53.
  • 35.Preschl B, Maercker A, Wagner B, Forstmeier S, Banos RM, Alcaniz M, et al. Life-review therapy with computer supplements for depression in the elderly: A randomized controlled trial. Aging Ment Health 2012;16:964-74.
  • 36.Serrano JP, Latorre JM, Gatz M, Montanes J. Life review therapy using autobiographical retrieval practice for older adults with depressive symptomatology. Psychol Aging 2004;19:270-7.
  • 37.McNeil JK, LeBlanc EM, Joyner M. The effect of exercise on depressive symptoms in the moderately depressed elderly. Psychol Aging 1991;6:487-8.
  • 38.Rosenberg D, Depp CA, Vahia IV, Reichstadt J, Palmer BW, Kerr J, et al. Exergames for subsyndromal depression in older adults: A pilot study of a novel intervention. Am J Geriatr Psychiatry 2010;18:221-6.
  • 39.Singh NA, Clements KM, Fiatarone MA. A randomized controlled trial of progressive resistance training in depressed elders. J Gerontol A Biol Sci Med Sci 1997;52:M27-35.
  • 40.Imai H, Furukawa TA, Okumiya K, Wada T, Fukutomi E, Sakamoto R, et al. Postcard intervention for depression in community-dwelling older adults: A randomised controlled trial. Psychiatry Res 2015;229:545-50.
  • 41.National Collaborating Centre for Mental Health (UK). Depression: the treatment and management of depression in adults (updated edition). Leicester (UK): British Psychological Society, 2010.
  • 42.Cape J, Whittington C, Buszewicz M, Wallace P, Underwood L. Brief psychological therapies for anxiety and depression in primary care: Meta-analysis and meta-regression. BMC Med 2010;8:38.
  • 43.Janssen N, Huibers MJH, Lucassen P, Voshaar RO, Van Marwijk H, Bosmans J, et al. Behavioural activation by mental health nurses for late-life depression in primary care: A randomized controlled trial. BMC Psychiatry 2017;17:230.
  • 44.Garrido MM, Kane RL, Kaas M, Kane RA. Perceived need for mental health care among community-dwelling older adults. J Gerontol B Psychol Sci Soc Sci 2009;64:704-12.

Reacties

Er zijn nog geen reacties.