Wetenschap

Invloed dalende eGFR op cardiovasculaire events

Zorgverleners in de eerste lijn onderschatten vaak het hogere cardiovasculaire risico bij chronische nierschade. Bij een dalende geschatte glomerulaire filtratiesnelheid (eGFR) blijkt het risico op een cardiovasculair event groter dan bij een stabiele of stijgende eGFR. De eGFR-verandering in de tijd kan de cardiovasculaire gezondheid voorspellen, ongeacht de eGFR-waarde zelf. HIS’sen zouden de eGFR-veranderingen in de tijd moeten registreren en de huisarts moeten waarschuwen bij een daling van de eGFR in verband met een hoger risico op cardiovasculaire events.
0 reacties
Bloedvaten
Een dalende eGFR met ten minste 3 ml/min/jaar geeft een hoger risico op cardiovasculaire gebeurtenissen over een periode van vijf jaar, onafhankelijk van de uitgangs-eGFR-waarde.
© iStock

Wat is bekend?

Er is een correlatie tussen eGFR-verandering en de incidentie van cardiovasculaire events.

Wat is nieuw?

Een daling van de eGFR van ten minste 3 ml/min/jaar geeft een hoger risico op cardiovasculaire events, onafhankelijk van de eGFR-waarde zelf.

De achteruitgang van de geschatte glomerulaire filtratiesnelheid (eGFR) bij ouderen is een gevolg van hemodynamische en structurele veranderingen, waaronder het verlies van niermassa.1 In Vlaanderen wordt de prevalentie van chronische nierschade in de volledige bevolking geschat op 13% bij mannen en 16% bij vrouwen.2 Slechts enkele patiënten met chronische nierschade zullen het stadium van terminale nierinsufficiëntie bereiken, omdat de meesten eerder zullen overlijden door andere aandoeningen. Risicofactoren die bijdragen aan de ontwikkeling van terminale nierziekte zijn diabetes, hoog totaal cholesterol, hoog LDL-cholesterol, hypertensie en vrouwelijk geslacht.38 Zorgverleners in de eerste lijn onderschatten vaak het hogere cardiovasculaire risico bij chronische nierschade, met onderbehandeling als gevolg.9 Vooral een snelle afname van eGFR, gedefinieerd als > 3 ml/min/jaar, levert een hoger risico op voor acuut myocardinfarct, hartfalen en beroerte.8 Een ander onderzoek rapporteert een vergelijkbare correlatie tussen eGFR-achteruitgang en cardiovasculaire events.10 Wij wilden onderzoeken of de eGFR-daling gedurende een periode van vijf jaar een relatie heeft met cardiovasculaire events (acuut myocardinfarct, perifere arteriële ziekte, cerebrovasculair accident/transient ischaemic attack en acuut hartfalen). Voor ons onderzoek hebben we gebruikgemaakt van Vlaamse huisartsengegevens.

Methode

We voerden een retrospectieve gegevensanalyse uit met behulp van de INTEGO-databank, die epidemiologische gegevens van meer dan honderd huisartsen in Vlaanderen bevat.11 De eGFR berekenden we met de MDRD-formule en de populatie verdeelden we op basis van eGFR-evolutie ml/min/1,73 m2 per jaar (ml/min/jaar). De [tabel] laat de referentiegroepen zien, ingedeeld naar de eGFR-afname.

Statistische analyse

Alle analyses zijn uitgevoerd met R-software. We gebruikten Cox proportional hazards-modellen om het verband tussen de eGFR-helling en de incidentie van cardiovasculaire events te evalueren.

Tijdens de follow-upperiode, tussen 1 januari 2011 en 31 december 2015, keken we naar cardiovasculaire events als acuut myocardinfarct (code K75 en/of K76), acuut hartfalen (K77), beroerte (transient ischaemic attack, K89; cerebrovasculair accident, K90) en perifere arteriële ziekte (K92). Patiënten met een eerdere cardiovasculaire aandoening hebben we niet uitgesloten. Patiënten die gedurende de follow-upperiode geen contact met de huisarts hadden sloten we uit van de analyses, omdat deze patiënten overleden of verhuisd kunnen zijn. Omdat er in Vlaanderen geen sprake is van een vaste inschrijving bij een huisarts kunnen we dit niet met zekerheid nagaan. De volgende variabelen beschouwden we als mogelijke confounders: leeftijd, vrouwelijk geslacht, diabetes (T90), hypertensie (K85, K86), nierfunctie bij aanvang (laatste waarde in een periode van vijf jaar) en cardiovasculair event in de voorgeschiedenis (K75, K76, K77, K89, K90 en K92).

Resultaten

Van de patiënten voldeden er 19.567 aan de inclusiecriteria. Ze hadden een gemiddelde leeftijd van 66,1 jaar en 52% was vrouw.

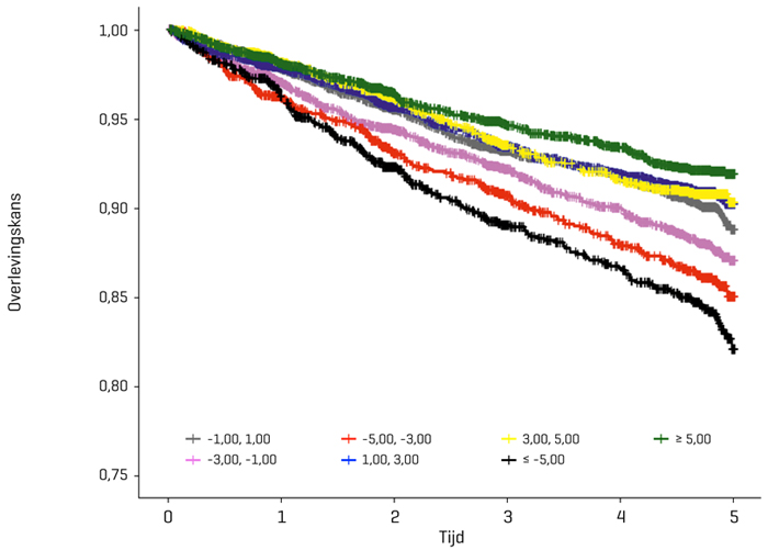
De [figuur] geeft de kans op een cardiovasculair event weer als functie van de eGFR-ontwikkeling. In de categorie met een eGFR-afname van ≤ 5 ml/min/jaar had bijna 12% van de patiënten een nieuw cardiovasculair event, terwijl dat in de referentiegroep op 7,8% lag. Patiënten van groep 4, 3 en 2 hadden een hazardratio van respectievelijk 1,68 (95%-BI 1,40 tot 2,02), 1,44 (1,19 tot 1,75) en 1,20 (1,02 tot 1,42) voor het ontwikkelen van een cardiovasculair event, in vergelijking met de referentiegroep [tabel]. Na correctie van deze analyses voor hypertensie, diabetes, cardiovasculaire events in de voorgeschiedenis en eGFR op baseline bleef een duidelijk effect zichtbaar: een HR van 1,56 (BI 1,29 tot 1,87) voor groep 4 en 1,38 (BI 1,13 tot 1,67) voor groep 3. Bij verdere analyse van deze subgroepen bleek dat 86% van groep 4 en 92% van groep 3 bij baseline een eGFR > 60 ml/min had.

Figuur | De kans op een cardiovasculair event over een periode van vijf jaar als functie van de eGFR-verandering (helling in ml/min/jaar)

De kans op een cardiovasculair event over een periode van vijf jaar als functie van de eGFR-verandering (helling in ml/min/jaar).
De kans op een cardiovasculair event over een periode van vijf jaar als functie van de eGFR-verandering (helling in ml/min/jaar).

Beschouwing

We hebben gegevens van een grote populatie gebruikt om te onderzoeken of een dalende eGFR over een periode van vijf jaar een slechtere cardiovasculaire uitkomst voor de volgende vijf jaar kan voorspellen. We vonden dat patiënten met een dalende eGFR meer risico lopen op een cardiovasculair event dan degenen met een stabiele of stijgende eGFR. Deze gegevens suggereren dat de eGFR-verandering in de tijd prognostisch kan zijn voor de cardiovasculaire gezondheid, ongeacht de eGFR-waarde zelf. Met deze eGFR-verandering kunnen we patiënten met een normale of licht verminderde eGFR achterhalen die een hoger risico hebben op cardiovasculaire events.

Context van de resultaten

Er zijn onlangs twee onderzoeken met een grote onderzoekspopulatie gedaan naar cardiovasculaire ziekte en eGFR-verandering in de tijd. Het eerste betrof een grote analyse van verschillende bestaande cohortonderzoeken en vond dat zowel positieve als negatieve eGFR-veranderingen een significant verband hebben met mortaliteit door alle oorzaken (dus cardiovasculaire en niet-cardiovasculaire sterfte).12 Het tweede onderzoek richtte zich op het verband tussen eGFR-verandering gedurende 2,5 jaar en het risico op congestief hartfalen, acuut myocardinfarct en beroerte.13 Dat risico was het hoogst wanneer de eGFR-daling gemiddeld meer dan 5 ml/min/jaar was. De aangepaste hazardratio’s van congestief hartfalen, acuut myocardinfarct en beroerte waren respectievelijk 2,57, 1,31 en 1,29. Bij aanpassing voor de laatste eGFR-meting zagen de onderzoekers echter alleen een significant verband met congestief hartfalen (hazardratio: 1,78).

Een sterk punt van ons onderzoek is het gebruik van een grote real life-dataset. Dit onderzoek heeft ook twee beperkingen. Omdat patiënten in België makkelijk van huisarts kunnen wisselen weten we niet of er patiënten uit de dataset verdwenen zijn. Het is dus mogelijk dat een aantal van de patiënten tijdens de onderzoeksperiode overleden is aan fatale cardiovasculaire events, wat de mortaliteitscijfers niet geheel betrouwbaar maakt. Verder ontbreken gegevens over albuminurie. Die waren maar van een beperkte groep patiënten beschikbaar, terwijl albuminurie een bekende voorspeller van ongewenste uitkomstmaten is, zoals cardiovasculaire events of daling van de eGFR.

Aanbevelingen voor de praktijk

Het lijkt ons nuttig om HIS’sen eGFR-veranderingen in de tijd te laten registreren, met een waarschuwingsfunctie voor een hoger risico op cardiovasculaire events wanneer een eGFR-daling van ten minste 3 ml/min/jaar wordt opgemerkt. Het feit dat het grootste deel van de groep met een gemiddelde jaarlijkse eGFR-verandering van ≤ -5,00 op baseline een normale nierfunctie had, kan tot een onjuiste inschatting leiden. Daardoor kunnen huisartsen de verslechtering van de eGFR onderschatten wanneer ze de eGFR-verandering, ook bij een normale uitgangswaarde van de eGFR, zelf niet opmerken. Dit onderzoek vormt dan ook een aanvulling op de NHG-Standaard Chronische nierschade, waar in het volgende staat: ‘Evalueer het beloop van de nierschade als er eerdere laboratoriumwaarden beschikbaar zijn. Verwijs bij progressie van chronische nierschade.’ De NHG-Standaard beveelt aan om afhankelijk van het stadium van chronische nierschade jaarlijks of zo nodig vaker de eGFR te bepalen.

Conclusie

Er is een correlatie tussen de eGFR-verandering in de tijd over een periode van vijf jaar en incidente cardiovasculaire gebeurtenissen. Een dalende eGFR van ten minste 3 ml/min/jaar geeft een hoger risico op cardiovasculaire gebeurtenissen over een periode van vijf jaar, onafhankelijk van de uitgangs-eGFR-waarde. Verder onderzoek is nodig om te zien of deze verslechtering reageert op de behandeling en, zo ja, welke behandelingen of preventieve maatregelen moeten worden genomen. Zal het vertragen van het afnemen van de nierfunctie ook de incidentie van cardiovasculaire gebeurtenissen verminderen? Om die vraag te kunnen beantwoorden is een interventieonderzoek nodig.

Tabel: Aantal patiënten per referentiegroep en de hazardratio (95%-BI; gecorrigeerd voor leeftijd en geslacht)
Referentiegroep Verandering eGFR Aantal patiënten Hazardratio
1 (grijs) (-1,00 tot 1,00) 3731 1,00
2 (roze) (-3,00 tot -1,00) 2817 1,20 (1,02 tot 1,42)
3 (rood) (-5,00 tot -3,00) 1433 1,44 (1,19 tot 1,75)
4 (zwart) ≤ -5,00 1598 1,68 (1,40 tot 2,02)
5 (blauw) (1,00 tot 3,00) 3598 0,96 (0,81 tot 1,14)
6 (geel) (3,00 tot 5,00) 2765 0,99 (0,82 tot 1,19)
7 (groen) ≥ 5,00 3585 0,93 (0,78 tot 1,12)
Dit is een bewerkte vertaling van Van Pottelbergh G, Mamouris P, Opdeweegh N, Vaes B, Goderis G, Van den Akker M. Is there a correlation between an eGFR slope measured over a 5-year period and incident cardiovascular events in the following 5 years among a Flemish general practice population: a retrospective cohort study. BMJ Open. 2018;8(11):e023594.
Van Pottelbergh G, Mamouris P, Opdeweegh N, Vaes B, Goderis G, Van den Akker M. Invloed dalende eGFR op cardiovasculaire events. Huisarts Wet 2020;63:DOI:10.1007/s12445-020-0566-0.
Mogelijke belangenverstrengeling: niets aangegeven.

Literatuur

Reacties

Er zijn nog geen reacties.