Samenvatting
Vraagstelling Kunnen inhalatiecorticosteroïden bij COPD de achteruitgang van de longfunctie (FEV 1) vertragen? Methoden Er werden wee artikelen geselecteerd en één abstract. Patiënten met ‘astmatische kenmerken’ werden uitgesloten. In deze meta-analyse werden 95 geselecteerde patiënten behandeld met inhalatiecorticosteroïden (87 met 1500/1600 µg beclomethason of budesonide per dag, 8 met 800 µg beclomethason per dag), en 88 met placebo. Het effect op FEV 1 werd geanalyseerd met behulp van de multiple repeated measurement-methode. Resultaten De patiënten waren gemiddeld 61 jaar oud en hadden matig tot ernstig COPD (FEV 1 = 45 % van voorspeld). Er was een significant verschil in de prebronchodilatoire FEV 1 over twee jaar van +0,034 l/jaar (95%-BI +0,005-0,063) in het voordeel van de met inhalatiecorticosteroïden behandelde groep, vergeleken met placebo, maar niet in postbronchodilatoire FEV 1 (95%-BI -0,006-0,084). Het aantal exacerbaties werd niet beïnvloed door de behandeling. Conclusies De meta-analyse van patiënten met duidelijk gedefinieerd matig tot ernstig COPD liet een beter verloop van de FEV 1 zien bij behandeling met relatief hoge doseringen inhalatiecorticosteroïden over twee jaar. In vier andere grote onderzoeken werd geen effect van inhalatiecorticosteroïden vastgesteld op het longfunctieverloop bij patiënten met diversen ernstgraden van COPD.
Inleiding
Uit verscheidene (inter)nationale consensusrapporten over de behandelingsstrategie bij COPD blijkt dat – anders dan bij astma – nog steeds niet is bewezen dat inhalatiecorticosteroïden bij COPD een gunstig effect hebben op longfunctie en symptomen. 123 Als inhalatiecorticosteroïden al een gunstig effect hebben op de daling van de longfunctie, dan geldt dit vooral voor patiënten met astmatische kenmerken (een hoge reversibiliteit en bronchiale reactiviteit). 4,5Wij verrichtten daarom een meta-analyse van de originele patiëntgegevens van de destijds (1997) bekende onderzoeken, waarbij uitsluitend patiënten met een strikte COPD-diagnose werden geselecteerd. De vraagstelling luidde:
- Kunnen inhalatiecorticosteroïden de daling van de longfunctie vertragen?
- Is het effect van inhalatiecorticosteroïden op het verloop van de longfunctie afhankelijk van de dosering?
- Welke klinische kenmerken voorspellen dit effect?
Methoden
Via Medline werd gezocht naar onderzoeken gepubliceerd tussen 1983 en 1996 met als trefwoorden ‘COPD’, ‘chronic airflow obstruction’, ‘obstructive airways disease’, ‘chronic airflow limitation’, ‘chronic bronchitis’, ‘inhaled corticosteroids’, ‘beclomethasone’, ‘budesonide’ en ‘fluticasone’. Dit leverde 94 referenties op. De literatuurlijsten van deze onderzoeken werden eveneens nageplozen op geschikte onderzoeken. Daarnaast raadpleegden we Biosis (1991-1996), On Line Contents (1993-1996), GLIN (Grijze Literatuur in Nederland, 1982-1996), de Cochrane Library en Embase (1993-1996). Er werden geen nieuwe referenties gevonden met gebruik van bovengenoemde trefwoorden. Er waren slechts vijf onderzoeken met een duur van minimaal 24 maanden, 678910 en in slechts drie gevallen ging het tevens om gerandomiseerd, placebogecontroleerd, klinische onderzoek. 6,8,9 één van die onderzoeken was bovendien slechts als abstract gepubliceerd. 9
Bij de desbetreffende onderzoekers werden de oorspronkelijke individuele data opgevraagd om patiënten met ‘astmatische kenmerken’ zoveel mogelijk uit te kunnen sluiten. Hiertoe werden strikte diagnostische criteria gehanteerd, gebaseerd op recente COPD-richtlijnen. 1,2
Inclusiecriteria
- symptomen overeenkomend met de diagnose van COPD (chronische dyspnoe vooral bij inspanning en/of (productief) hoesten gedurende 3 maanden per jaar in twee opeenvolgende jaren);
- leeftijd =40 jaar;
- FEV 1 na behandeling met ß 2-agonist (=400 µg salbutamol of =500 µg terbutaline) < voorspelde FEV 1 -1,64SD.
- bronchodilatoire respons op ß 2-agonist (=400 µg salbutamol of µg 500 µg terbutaline) < 9% van voorspelde FEV 1.
- roker of ex-roker.
Exclusiecriteria
- tekort aan a 1-antitrypsine;
- astmatisch verleden.
Effectparameters
De primaire effectparameter was de prebronchodilatoire afname van FEV 1. De secundaire effectparameters waren postbronchodilatoire afname van FEV 1, het aantal uitvallers en het aantal exacerbaties. In alle drie onderzoeken werden het aantal uitvallers en de redenen voor uitval vastgelegd. De redenen voor uitval werden gecategoriseerd als ‘verergering van de ziekte’, ‘mogelijke bijwerkingen’ en ‘overige’ (persoonlijke redenen, niet-gespecificeerde redenen). Het aantal exacerbaties werd vastgelegd. Een exacerbatie werd eenduidig gedefinieerd als de door een dokter gediagnosticeerde vermeerdering van het aantal respiratoire symptomen die een korte behandeling met systemische corticosteroïden 6,8 en/of antibiotica 9 noodzakelijk maakt.
De continue variabelen waren leeftijd, lichaamslengte, FEV 1 (liters), FEV 1 (uitgedrukt als percentage van de voorspelde FEV 1), FEV 1/IVC (%), reversibiliteit van de luchtwegen (bronchodilatoire respons op ß 2-agonist uitgedrukt als een percentage van de voorspelde FEV 1), rookverleden (aantal pakjaren (sigaretten per dag × aantal rookjaren gedeeld door 20)), aantal sigaretten per dag en allergie (totaal IgE uitgedrukt als IU/ml). Dichotome variabelen waren sekse, roker/ex-roker, regelmatig gebruik van anticholinergica, ß 2-agonisten, theofylline, mucolytica of almitrine (een obsoleet respiratoir stimulans).
Analyse
Voor alle analyses werd het SAS-statistiekpakket gebruikt. 11 De belangrijkste onafhankelijke variabele was het inhalatiecorticosteroïd versus placebo. In het onderzoek van Kerstjens et al. werden de patiënten behandeld met 800 µg beclomethason, 8 in de andere onderzoeken met 1500 µg beclomethason of 1600 µg budesonide. 6,9 De doseringen van 1500 µg beclomethason en 1600 µ budesonide werden als gelijkwaardige doseringen beschouwd. De groep die met prednison plus budesonide werd behandeld in het onderzoek van Renkema et al. werd uitgesloten van de analyse. 6 De patiënten in het onderzoek van Kerstjens et al. die werden behandeld met ipratropiumbromide werden beschouwd als placebogroep. 8 In het onderzoek van Renkema et al. werden de FEV 1-metingen elke twee maanden uitgevoerd, in de twee andere onderzoeken elke drie maanden. 6 Verschillen in de uitvalpercentages en de redenen voor uitval gedurende het onderzoek waarin de inhalatiecorticosteroïde werd vergeleken met de placebogroepen werden getest met de chi-kwadraattoets. Verschillen tussen beide groepen in de aantallen exacerbaties per jaar werden univariaat getest met Student's t-toets. Het effect van inhalatiecorticosteroïden (onafhankelijk van dosering) op de prebrochodilatoire en postbronchodilatoire FEV 1 werd getoetst via multiple repeated measurement. Om te corrigeren voor eventuele verstorende variabelen en te kunnen bepalen welke klinische kenmerken de invloed van inhalatiecorticosteroïden op de verandering in FEV 1 voorspellen, werden als variabelen ‘leeftijd’, ‘lichaamslengte’, ‘sekse’, ‘ FEV 1’, ‘luchtwegreversibiliteit’, ‘pakjesjaren’, ‘roken’, ‘IgE’, ‘anticholinergica’, ‘ß 2-agonisten’, ‘theofylline’, ‘mucolytica’ en ‘almitrine’ in het model opgenomen. Het aantal exacerbaties gedurende de onderzoeken werd eveneens opgenomen in het model. Daarnaast werden op iedere meting de gegevens over het aantal sigaretten dat dagelijks werd gerookt gedurende de onderzoeken (bepaald bij ieder bezoek) opgenomen in de analyse.
| Onderzoeken ? Onderzoeksarmen ? | Renkema 6 budesonide 1600 µg / budesonide 1600 µg + prednison 5 mg / placebo | Derenne 9 beclomethason 1500 µg / placebo | Kerstjens 8 beclomethason 800 µg / ipratroprium / placebo |
|---|---|---|---|
| Oorspronkelijk aantal patiënten | 58 (21/19/18) | 194 (100/94) | 51 (19/11/21) |
| Voldoen aan inclusiecriteria meta-analyse: | |||
| 1 Symptomen compatibel met COPD-diagnose | 58 | 194 | 51 |
| 2 Leeftijd = 40 jaar | 55 | 192 | 39 |
| 3 FEV na ß -agonist < voorspelde FEV -1,64SD | 47 | 185 | 29 |
| 4 Luchtwegreversibiliteit =9% voorspelde FEV | 43 | 178 | 29 |
| 5 (Ex-)rokers (>0 pakjaren) | 53 | 173 | 51 |
| Voldoen slechts aan 4 (van 5) inclusiecriteria | 22 | 36 | 25 |
| Voldoen slechts aan 3 inclusiecriteria | 6 | 6 | 8 |
| Voldoen slechts aan 2 inclusiecriteria | 0 | 0 | 3 |
| In aanmerking komend voor meta-analyse | 30 (6/14*/10) | 152 (81/71) | 15 (8/3†/4) |
Resultaten
De recrutering van de patiënten is weergegeven in tabel 1. De belangrijkste redenen voor uitsluiting waren ‘milde obstructie’ (FEV 1 = voorspelde FEV 1 -1,64 SD, 42 van de oorspronkelijke 303 patiënten) en ‘reversibele obstructie’ (>9 % van de voorspelde FEV 1, 53 van 303 patiënten). Tabel 2 bevat de gecombineerde beginwaarden van de 183 geselecteerde patiënten. In de relevante parameters waren de verschillen tussen de groep patiënten behandeld met inhalatiecorticosteroïden en de placebogroep statistisch niet significant.
| Inhalatiecorticosteroïden (n=95) | Placebo (n = 88) | |
|---|---|---|
| Leeftijd (in jaren) | 61 (7) | 61 (7) |
| Lichaamslengte (cm) | 170 (7) | 168 (7) |
| Mannelijk geslacht (n) | 89 | 79 |
| FEV (1) | 1,42 (0,47) | 1,30 (0,38) |
| FEV (% voorspeld) | 46 (11) | 44 (10) |
| FEV /IVC (%) | 49 (13) | 47 (11) |
| Luchtwegreversibiliteit (% van voorspelde FEV ) | 3,2 (2,7) | 2,9 (2,5) |
| Pakjaren | 40 (25) | 43 (24) |
| Roker (huidig/ex) | 32/63 | 34/54 |
| Sigaretten/dag (n) | 17 (12) | 17 (11) |
| Log10(IgE+1) (IU/ml) | 1,71 (0,59) | 1,67 (0,50) |
| Regelmatig gebruik van (% van patiënten) | ||
| – anticholinergica | 25 | 32 |
| – kortwerkende ß2-agonisten | 60 | 62 |
| – theofylline | 56 | 53 |
| – mucolytica | 33 | 40 |
| – almitrine | 10 | 13 |
| Gedurende het onderzoek | ||
| – exacerbaties/jaar | 0,9 (0,9) | 1,0 (1,3) |
| – uitvallers (n) | 35 | 29 |
| Reden van uitval (n) | ||
| – verergering van ziekte | 4 | 9 |
| – mogelijke bijwerkingen | 17 | 12 |
| – andere redenen | 14 | 8 |
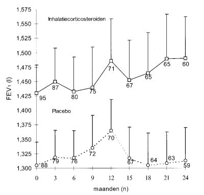
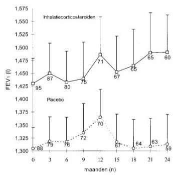
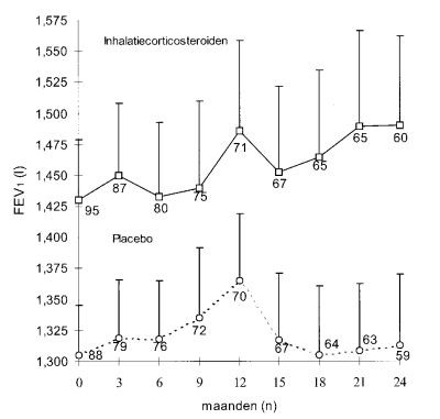
FEV
Het effect van een tweejarige behandeling met inhalatiecorticosteroïden (ongeacht de dosering) op FEV 1 versus placebo is weergegeven in figuur 1. De schatting was +0,034 l/jaar (95%-BI 0,005-0,063), hetgeen statistisch significant was. Als de dosering van inhalatiecorticosteroïden werd opgenomen in het model, was de schatting +0,002 l/jaar (95%-BI -0,061-0,065) voor de lage dosering en +0,039 l/jaar (95%-BI 0,008-0,070) voor de hoge dosering. Dezelfde procedure, toegepast op de postbronchodilatoire FEV 1, gaf een tweejarig behandelingseffect voor de groep behandeld met inhalatiecorticosteroïden versus de placebogroep van +0,039 l/jaar (95%-BI- 0,0061- 0,0841) ( figuur 2), hetgeen alleen in de hoge-doseringsgroep gehandhaafd bleef als de dosering inhalatiecorticosteroïden werd opgenomen in het model.
Er werden geen klinische kenmerken (zoals leeftijd, gebruik van ß 2-agonisten gevonden) die het effect van inhalatiecorticosteroïden op de longfunctie verder beïnvloedden.
Exacerbaties en uitval
Zowel in de groep behandeld met inhalatiecorticosteroïden als in de placebogroep was gemiddeld één exacerbatie per jaar opgetreden. Het uitvalpercentage bedroeg 36 procent voor de groep behandeld met inhalatiecorticosteroïden en 32 procent voor de placebogroep ( tabel 2).
In de placebogroep vielen twee keer zoveel patiënten uit wegens verergering van hun ziekte in vergelijking met de actief behandelde groep (9/88 versus 4/95 patiënten, p = 0,11- tabel 2). In de groep behandeld met inhalatiecorticosteroïden vielen 17 van de 95 subjecten uit vanwege mogelijke bijwerkingen tegenover 12 van de 88 subjecten in de placebogroep (? 2 = 1,78, p = 0,18). Er traden geen ernstige bijwerkingen op ten gevolge van de behandeling.
Beschouwing
Wij combineerden de originele datasets van drie longitudinale interventieonderzoeken waarin het effect van inhalatiecorticosteroïden op matig tot ernstig COPD werd onderzocht en selecteerden uitsluitend patiënten met een duidelijk gedefinieerd ziektebeeld. Uit de meta-analyse bleek dat inhalatiecorticosteroïden vergeleken met placebo een significant gunstig effect hebben op het verloop van de prebronchodilatoire FEV 1 bij een behandeling over twee jaar (+0,068 1), terwijl er een indicatie is van een effect op de postbronchodilatoire FEV 1 Een dagelijkse dosering van 1500/1600 µg van het inhalatiecorticosteroïde was effectiever dan 800 µg, hoewel hier opgemerkt dient te worden dat slechts een klein aantal patiënten de lagere dosering kreeg. Er werd geen effect waargenomen op de exacerbatieratio of het uitvalpercentage. Aanvullende analyses lieten zien dat er geen aanwijzingen waren voor ernstige intolerantie voor de hoge dosering: 20 procent van de patiënten had weliswaar klachten die met de behandeling te maken zouden kunnen hebben (zoals keelklachten), maar deze traden in gelijke mate op in de behandelde groep en de placebogroep.
Wat is bekend?
- Inhalatiecorticosteroïden vormen een hoeksteen van de behandeling van astma.
- Stoppen met roken is meest effectieve maatregel bij COPD.
Wat is nieuw?
- In tegenstelling tot deze meta-analyse blijk uit recentere en groter onderzoeken dat het versnelde longfunctieververlies bij patiënten met COPD niet wordt afgeremd door inhalatiecorticosteroïden.
Versneld longfunctieverlies is een centraal kenmerk van COPD. Uit onze meta-analyse blijkt dat dit functieverlies bij een groep patiënten met overwegend ernstig COPD (FEV 1 45% van voorspeld) afnam met 34 ml per jaar door de behandeling met een relatief hoge dosering van een inhalatiecorticosteroïd (1,5 mg per dag). In vier andere, recent gepubliceerde grote internationale multi-centeronderzoeken met een duur van drie jaar werd geen significant effect van inhalatiecorticosteroïden in verschillende doseringen op het longfunctieverloop bij verschillende ernstgraden van een strikte COPD-diagnose vastgesteld. 13141516 In twee onderzoeken was alleen gedurende de eerste zes maanden een gunstig effect aantoonbaar van inhalatiecorticosteroïden op de FEV 1. 13,16 Daarnaast waren er in twee onderzoeken effecten op secundaire effectparameters. In het ene onderzoek nam de exacerbatiefrequentie statistisch significant af met 25 procent van 1,32 naar 0,99 per jaar en nam de kwaliteit van leven toe. 16 In het andere onderzoek namen de hyperreactiviteit van de luchtweg en respiratoire klachten significant af. 15 Inhalatiecorticosteroïden kunnen dus mogelijk bij een subgroep van patiënten met COPD met veel pulmonale klachten en exacerbaties een plaats hebben in de therapie. Op basis van de resultaten van genoemde vier grote onderzoeken worden inhalatiecorticosteroïden echter niet als langdurige standaardbehandeling voor patiënten met COPD aanbevolen om het versnelde longfunctieverval af te remmen. 17 Stoppen met roken is en blijft, naast supplementaire zuurstofvoorziening, de belangrijkste interventie. 1,2,18 Een belangrijke vraag is dan waarom de resultaten van onze meta-analyse van kleinere onderzoeken afwijken van de resultaten van de genoemde vier grote onderzoeken met in totaal 3500 participanten. 13,16 Allereerst blijkt uit onderzoek dat een meta-analyse van kleinere onderzoeken soms een ander resultaat kan geven dan een analyse van afzonderlijke grote onderzoeken. 19,20 Verschillen in het aanwijzen van primaire effectparameters kunnen hiervoor verantwoordelijk zijn. In onze meta-analyse was het verloop van de prebronchodilatoire FEV1 de primaire effectparameter, in de vier grote onderzoeken was dat het verloop van de postbronchodilatoire FEV1. Het verloop van de postbronchodilatoire FEV1 was in onze meta-analyse, net als bij de grote onderzoeken, niet statistisch significant. Een tweede verklaring voor afwezigheid van overeenstemming tussen onze resultaten en de vier grote studies kan zijn dat bij onze ‘her-analyse’ gebruik werd gemaakt van onderzoeken van slechts slechts twee jaar. Daarnaast had de meta-analyse nog een paar beperkingen. Ten eerste werden gegevens over therapietrouw en de dosering van bijkomende geneesmiddelen niet opgenomen in de meta-analyse. Ten tweede omvatte alleen het onderzoek van Kerstjens et al. een kosten-batenanalyse. Rutten-van Mölken et al.12concludeerde dat ‘gebruik van een inhalatiecorticosteroïde naast een ß-agonist leidt tot significante winst in termen van longfunctie en actieve dagen tegen relatief lage extra kosten voor de gezondheidszorg’. Een interactieanalyse in dit onderzoek liet echter zien dat inhalatiecorticosteroïden de meeste winst opleverden bij patiënten met een ‘klassiek’ astmaprofiel (allergie, reversibiliteit, niet-roken en vaak jonge leeftijd). Bovendien betrof het onderzoek slechts tweedelijnspopulaties. Het is belangrijk dat dit onderzoek ook wordt uitgewerkt in de eerste lijn. De conclusies van onze meta-analyse en de vier recente grote klinische onderzoeken vragen dus om onderbouwing door langere en groter opgezette onderzoeken in de eerste lijn, met een meer gedetailleerde registratie van therapietrouw, medicijngebruik tijdens het onderzoek, en kosten en baten.
Conclusie
De conclusie van deze meta-analyse is dat de FEV 1 bij matig tot ernstig COPD, die gedurende twee jaar werd behandeld met relatief hoge doseringen van inhalatiecorticosteroïden (1500 µg beclomethason of 1600 µg budesonide dagelijks) verbeterde. Op basis van negatieve resultaten van vier recente grote internationale onderzoeken kunnen inhalatiecorticosteroïden echter niet als standaardbehandeling voor patiënten met COPD worden aanbevolen om het versnelde longfunctieverval af te remmen.
Oorspronkelijke publicatie
Dit artikel is een bewerking en ingekorte versie van de oorspronkelijke Engelstalige publicatie: Van Grunsven, Van Schayck, Derenne JP, et al. Long-term effects of inhaled corticosteroids in chronic obstructive pulmonary disease – a meta-analysis. Thorax 1999;54:7-14.
Dankbetuiging
Met dank aan de Nederlandse Organisatie voor Wetenschappelijk Onderzoek voor de verleende subsidie, en P.M.R. Jansen voor zijn assistentie bij het literatuuronderzoek per computer.
Literatuur
- 1.↲↲↲American Thoracic Society. Standards for the diagnosis and care of patients with chronic obstructive pulmonary disease. Am J Respir Crit Care Med 1995;152:S77-121.
- 2.↲↲↲Siafakas NM, Vermeire P, Pride NB, et al. Optimal assessment and management of chronic obstructive pulmonary disease (COPD). The European Respiratory Society Task Force. Eur Respir J 1995;8:1398-420.
- 3.↲Geijer RMM, Van Schayck CP, Van Weel C, et al. NHG-Standaard COPD: Behandeling. Huisarts Wet 1997;40:430-42.
- 4.↲Van Schayck CP, Van Grunsven PM, Dekhuijzen PNR. Do patients with COPD benefit from treatment with inhaled corticosteroids? Eur Respir J 1996;9:1969-72.
- 5.↲Kerstjens HA, Overbeek SE, Schouten JP, et al. Airways hyperresponsiveness, bronchodilator response, allergy and smoking predict improvement in FEV , during long-term inhaled corticosteroid treatment. Eur Respir J 1993;6:868-76.
- 6.↲↲↲↲↲↲Renkema TE, Schouten JP, Koeter GH, et al. Effects of long-term treatment with corticosteroids in COPD. Chest 1996;109:1156-62.
- 7.↲Dompeling E, Van Schayck CP, Van Grunsven PM, <span class="i"></span>. Slowing the deterioration of asthma and chronic obstructive pulmonary disease observed during bronchodilator therapy by adding inhaled corticosteroids. A 4-year prospective study. Ann Intern Med 1993;118:770-8.
- 8.↲↲↲↲↲Kerstjens HA, Brand PL, Hughes MD, et al. A comparison of bronchodilator therapy with or without inhaled corticosteroid therapy for obstructive airways disease. N Engl J Med 1992; 327:1413-9.
- 9.↲↲↲↲↲Derenne JP. Effects of high dose inhaled beclomethasone in the rate of decline in FEV in patients with chronic obstructive pulmonary disease: results of a 2 years prospective multicentre study. Am J Respir Crit Care Med 1995;151: A463.
- 10.↲Weir DC, Robertson AS, Gove RI, et al. Non-asthmatic chronic airflow obstruction: can inhaled corticosteroids slow down disease progression? Thorax 1988;43:857P.
- 11.↲Wolfinger R, ed. The mixed procedure. SAS Technical Report P-229. 1992; Chapter 16.
- 12.↲Rutten-van Mölken MP, Van Doorslaer EK, Jansen MC, et al. Costs and effects of inhaled corticosteroids and bronchodilators in asthma and chronic obstructive pulmonary disease. Am J Respir Crit Care Med 1995;151:975-82.
- 13.↲↲↲Pauwels RA, Lofdahl CG, Laitinen LA, et al. Long-term treatment with inhaled budesonide in persons with mild chronic obstructive pulmonary disease who continue smoking. N Engl J Med 1999;340:1948-53.
- 14.↲Vestbo J, Sörensen T, Lange P, et al. Long-term effect of inhaled budesonide in mild and moderate chronic obstructive pulmonary disease: a randomised controlled trial. Lancet 1999; 353:1819-23.
- 15.↲↲The Lung Health Study Research Group. Effect of inhaled triamcinolone on the decline in pulmonary function in chronic obstructive pulmonary disease. N Engl J Med 2000;343:1902-9.
- 16.↲↲↲↲Burge PS, Calverley PMA, Jones PW, et al. Randomised, double blind, placebo controlled study of fluticasone propionate in patients with moderate to severe chronic obstructive pulmonary disease: the ISOLDE trial. BMJ 2000; 320:1297-1303.
- 17.↲Geijer RMM, Van Schayck CP, Van Weel C, et al. NHG-Standaard COPD: Behandeling. Huisarts Wet 2001;44(5):207-19.
- 18.↲Anthonisen NR, Connett JE, Kiley JP, et al. Effects of smoking intervention and the use of an inhaled anticholinergic bronchodilator on the rate of decline of FEV . The Lung Health Study. JAMA 1994;272:1497-505.
- 19.↲Cappelleri JC, Ioannidis JP, Schmid CH, et al. Large trials vs meta-analysis of smaller trials: how do their results compare? JAMA 1996;276: 1332-8.
- 20.↲Ioannidis JP, Cappelleri JC, Lau J. Issues in comparisons between meta-analyses and large trials. JAMA 1998;279:1089-93.
Reacties
Er zijn nog geen reacties.