Richtlijn

NHG-Standaard Lumbosacraal radiculair syndroom (tweede herziening)

Samenvatting

Schaafstra A, Spinnewijn WEM, Bons SCS, Borg MAJP, Koes BW, Ostelo RWJF, Spijker-Huiges A, Burgers JS, Bouma M, Verburg AFE. Dutch College of General Practitioners’ guideline Lumbosacral radicular syndrome. Huisarts Wet 2015;58(6):308-20.
The Dutch College of General Practitioners (NHG) has revised the 2005 guideline ‘Lumbosacral radicular syndrome’. The revised guideline covers the diagnosis and management of lumbosacral radicular syndrome in general practice.
In most cases, lumbosacral radicular syndrome is caused by a herniated disc with nerve root compression. Other causes include lumbar stenosis, malignancy, and infection. The condition generally has a favourable natural course: symptoms resolve within 3 months without operation in 75% of patients. A complicated course with severe paresis or cauda equina syndrome is rare.
The diagnosis is based on the patient history and neurological examination. Lumbosacral radicular syndrome should be considered if pain radiates down the leg in a dermatomal pattern. There also may be sensory symptoms, weak or no reflexes, and/or motor dysfunction with the same radicular distribution. Patients may also suffer from low back pain, but this pain is usually less severe than the leg pain. The general practitioner should be alert to signs of severe underlying disease, such as malignancy or infection.
In the acute stage of the disease, diagnostic imaging is only indicated if there are indications that the symptoms are caused by underlying disease rather than disc herniation, if severe pain does not diminish with opioids, if cauda equina syndrome is suspected, or if there is severe or progressive paresis. In these cases, immediate referral to a neurologist for diagnostic imaging and treatment is indicated. In other cases, diagnostic imaging in the acute stage (duration of symptoms ≤ 6–8 weeks) is not useful, because findings, such as disc herniation, do not have consequences for treatment.
In patients with acute symptoms, treatment is conservative. Providing patients with adequate information about the cause and expected prognosis is an important part of the management strategy. Patients are advised to stay active and to continue daily activities as much as possible. Adequate pain management is a key element of treatment. If pain is severe, it is important to increase medication rapidly or to start treatment with opioids. If radicular pain does not respond to high-dose opioids, the patient should be referred to a neurologist.
Disc surgery may be considered if symptoms do not improve after 6–8 weeks. In patients with symptoms lasting about 12 weeks, disc surgery may provide more rapid relief of leg pain than continued conservative care, but there are no clear differences in pain relief after 1–2 years. Forty percent of patients who receive continued conservative care eventually undergo surgery. Patient preference is therefore an important feature of the decision-making process. The general practitioner and patient should together weigh the benefits and harms of surgery and continued conservative care.
If the patient opts for disc surgery, the general practitioner should refer the patient to a neurologist for diagnostic imaging. If clinical findings and symptoms are consistent with imaging findings, the patient should be referred to a neurosurgeon or specialist orthopaedic surgeon for surgical evaluation.
Belangrijkste wijzigingen
  • Aanvraag van beeldvormende diagnostiek door de huisarts bij patiënten met een lumbosacraal radiculair syndroom (LRS) wordt ontraden.
  • Er is meer aandacht voor de afweging van de voor- en nadelen van operatieve interventie en een in opzet voortgezette conservatieve behandeling bij onvoldoende verbetering van de klachten na zes tot acht weken.
  • De aanbevelingen voor het postoperatieve beleid en het beleid bij chronische klachten zijn uitgebreid.
  • Aanbevelingen voor diagnostiek en beleid bij een vermoeden van neurogene claudicatio intermittens op basis van een wervelkanaalstenose zijn uitgebreid.

Kernboodschappen
  • Een LRS, meestal als gevolg van compressie van een lumbosacrale zenuwwortel door een discushernia, heeft doorgaans een gunstig natuurlijk beloop.
  • De diagnose LRS wordt gesteld op basis van anamnese en lichamelijk onderzoek.
  • Adviseer gedoseerd te bewegen en door te gaan met de dagelijkse activiteiten voor zover de klachten dit toelaten.
  • Streef naar adequate pijnstilling (voldoende hoog gedoseerd, tijdcontingent).
  • Verwijs alleen naar de neuroloog voor aanvullende diagnostiek bij aanwijzingen voor een ernstige oorzaak van het LRS, bij vermoeden van een cauda-equinasyndroom, een ernstige parese of wanneer een operatie wordt overwogen.
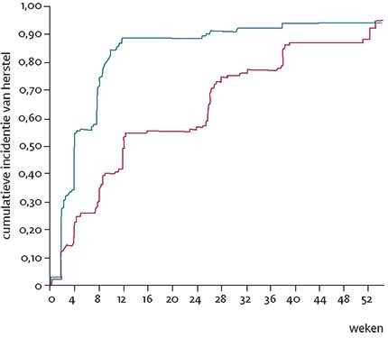
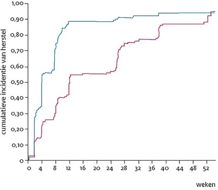
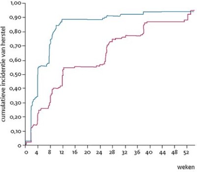
  • Operatieve behandeling bij onvoldoende verbetering van de klachten na circa twaalf weken leidt tot een sneller herstel dan een in opzet voortgezette conservatieve behandeling. Na een jaar is er geen verschil in effectiviteit tussen de twee behandelopties.

Delegeren van taken

NHG-Standaarden bevatten richtlijnen voor huisartsen. Dit betekent niet dat de huisarts alle genoemde taken persoonlijk moet verrichten. Sommige taken kan de huisarts delegeren aan de praktijkassistente, praktijkondersteuner of praktijkverpleegkundige, mits zij worden ondersteund door duidelijke werkafspraken waarin is vastgelegd in welke situaties zij de huisarts moeten raadplegen en mits de huisarts toeziet op de kwaliteit. Omdat de keuze van de te delegeren taken sterk afhankelijk is van de lokale situatie, bevatten de standaarden daarvoor geen concrete aanbevelingen.
Evenmin bevatten standaarden gedetailleerde aanwijzingen over de beoordeling van het spoedeisende karakter van een hulpvraag als de patiënt zich telefonisch meldt bij de triagist tijdens avond-, nacht- en weekenddiensten of bij de praktijkassistente tijdens praktijkuren. Meer gedetailleerde informatie hierover is te vinden in de NHG-TriageWijzer. Ook bij telefonische spoedbeoordeling geldt dat de huisarts verantwoordelijk blijft en moet toezien op de kwaliteit.

Inleiding

De NHG-Standaard Lumbosacraal radiculair syndroomlumbosacraal radiculair syndroom geeft aanbevelingen voor diagnostiek en beleid bij een vermoeden van een lumbosacraal radiculair syndroom (LRSLRS). Deze standaard is afgestemd op de multidisciplinaire richtlijn Lumbosacraal Radiculair Syndroom van de Nederlandse Vereniging voor Neurologie en het CBO (2008). Bij de vertaling naar concrete aanbevelingen voor de huisarts is rekening gehouden met de diagnostische en therapeutische mogelijkheden en werkwijze in de eerste lijn.
Het LRS wordt gekenmerkt door uitstralende pijn in het been, al dan niet met andere prikkelingsverschijnselen (paresthesieën) en neurologische uitvalsverschijnselen, die suggestief is voor een aandoening van één (soms twee) specifieke lumbosacrale zenuwwortel(s).1
De aanbevelingen in deze standaard geven de huisarts een handvat bij de differentiatie tussen een LRS en andere oorzaken van uitstralende pijn in het been. De standaard geeft aan welke categorie patiënten de huisarts zonder aanvullende diagnostiek zelf kan behandelen en in welke gevallen specialistische behandeling is aangewezen. Een minderheid van de patiënten wordt operatief behandeld. In de standaard worden aandachtspunten beschreven voor het postoperatieve beleid. Ook komt het beleid bij chronische klachten aan de orde.
In deze standaard worden ook aanbevelingen gegeven voor diagnostiek en beleid bij een vermoeden van neurogene claudicatio intermittens op basis van een symptomatische lumbale wervelkanaalstenose. Voor de diagnostiek en het beleid bij lagerugpijn zonder aanwijzingen voor een LRS − met inbegrip van (aanhoudende) lagerugpijn na herstel van een LRS − wordt verwezen naar de NHG-Standaard Aspecifieke lagerugpijn. De behandeling van andere oorzaken van uitstralende pijn in het been valt buiten het bestek van deze standaard.
Deze standaard is tot stand gekomen in samenwerking met de Nederlandse Vereniging voor Neurologie (NVN), de Nederlandse Vereniging voor Neurochirurgie (NVVN), de Nederlandse Orthopaedische Vereniging (NOV) en het Koninklijk Nederlands Genootschap voor Fysiotherapie (KNGF) en sluit aan bij de ‘Verstandige keuzes bij een lage rughernia’ van de Orde van Medisch Specialisten, ZonMw en NPCF.2

Achtergronden

Begrippen

Lumbosacraal radiculair syndroom: uitstralende pijn in één bil of been, al dan niet met andere prikkelingsverschijnselen (paresthesieën) en neurologische uitvalsverschijnselen (hypesthesie/hypalgesie, parese, verlaagde reflexen), die suggestief is voor een prikkeling van één (soms twee) specifieke lumbosacrale zenuwwortel(s).
Discusherniadiscushernia: uitpuiling van een tussenwervelschijf in het wervelkanaal, waardoor één of meer zenuwwortels bekneld kunnen raken.
Cauda-equinasyndroomcauda-equinasyndroom: (uni- of bilaterale) motorische of sensibele uitval (rijbroekanesthesie) al dan niet in combinatie met hevige radiculaire pijn, urineretentie, incontinentie voor urine en/of feces als gevolg van compressie van meerdere sacrale zenuwwortels.
Neurogene claudicatio intermittens: uitstralende pijn, dove gevoelens en/of krachtverlies in één of beide benen en/of het rijbroekgebied, die optreden bij staan of lopen en verdwijnen bij zitten of vooroverbuigen.
Wervelkanaalstenosewervelkanaalstenose: vernauwingen van het wervelkanaal, meestal als gevolg van degeneratieve veranderingen van de benige en weke delen van de wervelkolom, hetgeen tot compressie van één of meer zenuwwortels kan leiden.

Epidemiologie

Het aantal nieuwe gevallen van ‘lagerugpijn met uitstraling’ (ICPC-code L86) in de huisartsenpraktijk bedraagt 12 per 1000 patiënten per jaar. De incidentie van ‘lagerugpijn met uitstraling’ neemt toe met de leeftijd en is het hoogst in de leeftijdscategorie 75 tot 84 jaar. Bij vrouwen wordt de aandoening iets vaker vastgesteld dan bij mannen. De prevalentie van ‘lagerugpijn met uitstraling’ bedraagt 36 per 1000 patiënten per jaar en vertoont dezelfde trend naar leeftijd als de incidentie. In een (onbekend) deel van de gevallen zullen niet-radiculaire pijnklachten en neurogene claudicatio intermittens onder deze ICPC-code geregistreerd worden. Daarom zijn de incidentie- en prevalentiecijfers van het LRS naar alle waarschijnlijkheid lager dan de hierboven vermelde cijfers voor lagerugpijn met uitstraling. Uit bevolkingsonderzoeken waarin strikte criteria voor de diagnose LRS werden toegepast, blijkt dat de incidentie van LRS het hoogst is in de leeftijdscategorie 30 tot 64 jaar.
Een wervelkanaalstenose heeft bij mensen ouder dan 60 jaar een prevalentie van circa 20%. Deze stenose is bij het merendeel van de patiënten asymptomatisch. De incidentie van neurogene claudicatio intermittens op basis van een lumbale wervelkanaalstenose bedraagt ongeveer 10 per 100.000 inwoners per jaar en stijgt met de leeftijd.3

Pathofysiologie

Meestal wordt een LRS veroorzaakt door compressie van een zenuwwortel door een discushernia. Een discushernia is een uitpuiling van de tussenwervelschijf (discus) in het wervelkanaal als gevolg van daling van het vochtgehalte en de elasticiteit (degeneratie) van de discus. Indien het discusmateriaal zich als een vrij fragment in het wervelkanaal bevindt, spreekt men van een sequester. Uitpuilend discusmateriaal kan weer geresorbeerd worden. Dit treedt vooral op bij grote of gesequestreerde hernia’s.
In de meeste gevallen gaat het om de disci op de niveaus L4-L5 en L5-S1 (elk circa 45%), omdat op deze niveaus de statische en kinetische krachten van de wervelkolom het grootst zijn. Een discushernia op het niveau L3-L4 is in circa 5% van de gevallen de oorzaak; op de niveaus L2-L3 en L1-L2 wordt minder frequent een discushernia vastgesteld.
Bij een discushernia op niveau L4-L5 wordt in de meeste gevallen zenuwwortel L5 gecomprimeerd en bij een discushernia op niveau L5-S1 zenuwwortel S1. In geval van een centrale discushernia kan een lager uittredende zenuwwortel worden gecomprimeerd. Een grote discushernia kan meerdere zenuwwortels comprimeren. Compressie van de cauda equina leidt tot het cauda-equinasyndroom (CES) (zie Natuurlijk beloop en prognose).
In veel gevallen veroorzaakt een discushernia geen klinische verschijnselen. Zelfs indien de discushernia aanleiding geeft tot compressie en/of tractie van de op dat niveau uittredende zenuwwortel leidt dit niet altijd tot symptomen. Een hypothetische verklaring voor deze bevinding is dat zowel compressie als een ontstekingsreactie, als gevolg van door de nucleus pulposus uitgescheiden pro-inflammatoire stoffen, nodig zijn om een LRS te veroorzaken.4
Meer zeldzame oorzaken van wortelcompressie zijn onder andere een foraminale stenose, spondylolisthesis, wervelfractuur, wervelmetastase, epiduraal abces of hematoom. Ook een ontsteking van een zenuwwortel (radiculitisradiculitis), door bijvoorbeeld Borrelia burgdorferi of Herpes zoster, kan tot een LRS leiden.
Of bacteriën een rol kunnen spelen in de pathofysiologie van rugpijn na een episode met LRS-klachten staat ter discussie.5
Een wervelkanaalstenose is bij 80% van de patiënten het gevolg van verworven degeneratieve afwijkingen, zoals een discushernia of hypertrofie van de facetgewrichten en/of het ligamentum flavum. Meestal is er sprake van een combinatie van deze factoren. Bij circa 20% is sprake van een congenitale stenose of een ontwikkelingsstoornis, waardoor het wervelkanaal in diameter is vernauwd. (Geforceerde) extensie van de wervelkolom, bijvoorbeeld tijdens lopen, leidt tot verdere vernauwing van het wervelkanaal; dit kan in geval van een wervelkanaalstenose tot compressie van zenuwwortels leiden. Vernauwing van het wervelkanaal komt, vooral bij ouderen, frequent voor zonder dat dit tot symptomen leidt.6
Zowel bij een wervelkanaalstenose als bij een LRS is er veelal sprake van een combinatie van nociceptieve en neuropathische pijn. Voor meer informatie over de pathofysiologie van pijn wordt verwezen naar de NHG-Standaard Pijn.

Risicofactoren

Er zijn aanwijzingen dat een grote lichaamslengte, zwaar lichamelijk werk (vooral indien dit gecombineerd wordt met frequent vooroverbuigen en draaien van de wervelkolom), mentale stress, langdurig roken en frequent langdurig autorijden (> 2 uur/dag, meer dagen per week) risicofactoren zijn voor het ontstaan van een LRS. Daarnaast speelt genetische aanleg waarschijnlijk een rol. Op grond van de huidige kennis kunnen er geen aanbevelingen voor preventie van een LRS worden geformuleerd.7

Klinisch beeld

Prikkeling van een lumbale of sacrale zenuwwortel kan leiden tot uitstralende pijn in het gebied van de bil of het been dat geïnnerveerd wordt door deze zenuwwortel. Soms gaat de pijn ook gepaard met uitvalsverschijnselen: een sensibiliteitsstoornis, parese en/of verlaging van de reflexen. In [tabel 1] staan de klinische kenmerken van een LRS samengevat, uitgesplitst naar de betrokken zenuwwortel.
Missing media-item.
Ook bij aspecifieke lagerugpijn straalt de pijn soms uit in het been, maar dit staat minder op de voorgrond dan de rugpijn en heeft niet het karakter van radiculaire pijn. In de praktijk kan het maken van het onderscheid met radiculaire pijnklachten echter lastig zijn.
Typerend voor radiculaire pijn is dat deze uitstraalt in één been, gelokaliseerd is in het verzorgingsgebied van één (soms twee) van de ruggenmergzenuwwortels van de lumbosacrale wervelkolom (‘dermatomaal patroondermatomaal patroon’) en scherp van karakter is. De patiënt kan de plaats van deze pijn meestal goed aangeven. Soms is de pijn vooral gelokaliseerd in het onderbeen en/of de voet, waardoor niet meteen aan een LRS wordt gedacht. De pijnklachten zijn vaak houdingsafhankelijk, waarbij in liggende positie de minste pijn wordt ervaren. De klachten nemen soms toe bij drukverhogende momenten, zoals hoesten, niezen en persen. Meestal zijn de zenuwwortels van L5 en S1 aangedaan, waarbij de pijn uitstraalt tot in het onderbeen en de voet. Indien de uitstralende pijn beperkt blijft tot de gluteaalstreek, het bovenbeen of de lies kan er sprake zijn van compressie van de zenuwwortels L2, L3 of L4. Bij een LRS komt frequent ook lagerugpijn voor, de beenklachten staan echter op de voorgrond.8
Symptomen passend bij een cauda-equinasyndroom (CES) zijn (uni- of bilaterale) motorische of sensibele uitval (rijbroekanesthesie) al dan niet in combinatie met hevige radiculaire pijn, urineretentie, incontinentie voor urine en/of feces, verminderd passagegevoel van feces en/of erectiele disfunctie als gevolg van compressie van verschillende sacrale zenuwwortels. In een enkel geval zijn pijnklachten afwezig bij een cauda-equinasyndroom, hetgeen op ernstige zenuwschade kan wijzen.9
Kenmerkend klachtenpatroon bij een lumbale wervelkanaalstenose is uitstralende pijn (vaak volgens een dermatomaal patroon) in één of beide benen, soms gepaard gaande met een sensibiliteitsstoornis en/of parese, die optreedt bij staan of lopen en weer verdwijnt bij zitten of vooroverbuigen (neurogene claudicatio intermittens). De klachten treden niet op bij fietsen. De klachten ontstaan over het algemeen geleidelijk.
In [tabel 2] staan de kenmerken van het LRS en neurogene claudicatio intermittens samengevat.
Tabel2Kenmerken LRS en neurogene claudicatio intermittens
Lumbosacraal radiculair syndroomNeurogene claudicatio intermittens
Leeftijd (leeftijdscategoriemet hoogste incidentie)30-64 jaar> 60 jaar
Beloop(Sub)acuut begin, 75% herstel &lt 12 wekenGeleidelijk ontstaan; chronisch beloop
Karakter pijnScherpe, brandende pijnBrandende, doffe pijn, zwaar/moe gevoel
Lokalisatie klachtenMeestal eenzijdigMeestal beide benen
Uitlokkende factorenDrukverhogende momenten, staan, lopenStaan en lopen, vooral met gestrekte rug
Verlichtende factorenLiggenFietsen, zitten, vooroverbuigen
Lichamelijk onderzoekMotorische/sensibele uitval, radiculaire provocatietesten vaak positiefMeestal geen afwijkingen

Natuurlijk beloop en prognose

Het LRS heeft in de meerderheid van de gevallen een gunstig beloop. Bij driekwart van de patiënten met een LRS door een discushernia treedt binnen 3 maanden spontaan herstel op. Minder dan 10% van de patiënten heeft een langdurig beloop met klachten die in wisselende mate aanwezig blijven. In Nederland wordt naar schatting 5 tot 15% van de patiënten met een LRS geopereerd.
Bij maximaal 5% van de patiënten ontwikkelen zich progressieve uitvalsverschijnselen; een cauda-equinasyndroom treedt bij 1 tot 3% van de patiënten op. Zowel na een conservatieve behandeling als na een operatie kunnen restverschijnselen, zoals een parese, sensibele stoornissen en reflexverschillen, geruime tijd, soms zelfs levenslang, aanwezig blijven. Veel LRS-patiënten hebben een voorgeschiedenis met lagerugklachten. Hoewel de prognose van het LRS voor de beenklachten gunstig is, blijven bij veel patiënten de rugklachten in wisselende mate bestaan. Ook treden bij naar schatting 4 tot 20% van de patiënten recidiefklachten op.10 Het is onvoldoende duidelijk wat risicofactoren zijn voor een slechte uitkomst of voor het optreden van recidiefklachten.11,12
Het natuurlijk beloop van neurogene claudicatio intermittens is variabel. Over het algemeen blijven de klachten zonder interventie min of meer onveranderd aanwezig. Bij een minderheid van de patiënten is sprake van progressie of verbetering van de klachten.13

Richtlijnen diagnostiek

De huisarts stelt de diagnosen LRS en neurogene claudicatio intermittens op basis van anamnese en lichamelijk onderzoek. De anamnese is het meest bijdragend voor het stellen van de diagnose LRS.14 Het is van belang een inschatting te maken van de ernst van de pijn en de beperkingen in fysiek functioneren en dagelijkse werkzaamheden. De huisarts gaat daarnaast na of er symptomen zijn die wijzen op een ernstig beloop van het LRS, vooral een cauda-equinasyndroom, en maakt ten slotte een inschatting van de waarschijnlijkheid van een andere (soms ernstige) oorzaak van het LRS dan wortelcompressie door een discushernia. Hiermee dient vooral rekening te worden gehouden bij klachten of verschijnselen die niet passen bij het normale klachtenpatroon van een LRS (zie [tabel 3]) of in geval van een onverklaarbaar langdurig of progressief beloop.

Anamnese

Vraag bij vermoeden van een LRS of neurogene claudicatio naar:
  • duur en beloop van de klachten;
  • lokalisatie, uitstraling, aard en intensiteit van de pijn;
  • de ernst van de pijn in het been in verhouding tot de ernst van de eventuele pijn in de rug; de intensiteit van de pijn kan gemeten worden met behulp van een pijnschaal, zoals de VAS of NRS (zie de NHG-Standaard Pijn (2015)).
  • sensibiliteitsstoornissen;
  • invloed van drukverhogende momenten als hoesten, niezen en persen op de pijn in het been;
  • invloed van rust, beweging en houding op de klachten;
  • eerdere lagerugpijn- en LRS-episodes, hun beloop en behandeling;
  • maligniteit in de voorgeschiedenis;
  • recente ingreep aan de lumbale wervelkolom (zoals operatie, lumbaalpunctie of epidurale steroïdinjectie);
  • zelfzorg en behandeling tot nu toe;
  • de mate van belemmering in het dagelijks functioneren thuis, op het werk (bijvoorbeeld verzuim of productiviteitsverlies), op school of in de vrije tijd;
  • oorzaken in, dan wel gevolgen voor de arbeidssituatie;
  • de ideeën die bij de patiënt leven over het ontstaan en voortbestaan van zijn klachten;
  • zorgen, ongerustheid, specifieke vragen en verwachtingen van de patiënt.

Vraag naar klachten die kunnen wijzen op een ernstig beloop van een LRS:
  • krachtverlies;
  • mictiestoornissen (incontinentie of retentie);
  • sensibiliteitsstoornis in het rijbroekgebied.

Vraag bij hevige pijn, een maligniteit in de voorgeschiedenis en/of een recente ingreep aan de wervelkolom ook naar klachten die op een ernstige oorzaak van een LRS kunnen wijzen (zie ook [tabel 3]):
  • bijkomende klachten, zoals algehele malaise, onverklaard gewichtsverlies, koorts;
  • voorafgaande tekenbeet, erythema migrans, hersenzenuwuitval, artritis.

Vraag bij vermoeden van neurogene claudicatio intermittens ook naar:
  • het optreden van klachten bij lopen en fietsen;
  • de invloed van staan, zitten, vooroverbuigen en rechtop staan op de klachten.

Lichamelijk onderzoek

Lichamelijk onderzoek bij vermoeden van een LRS is gericht op het objectiveren van eventuele uitvalsverschijnselen en het meer of minder waarschijnlijk maken van zenuwwortelprikkeling door het uitvoeren van radiculaire provocatietesten. De maximale vinger-vloerafstand bij vooroverbuigen kan als aanvulling op of als alternatief voor de (gekruiste) proef van Lasègue worden uitgevoerd; deze test is makkelijk uitvoerbaar en de testeigenschappen zijn vergelijkbaar met die van de proef van Lasègue.14 Daarnaast is het van belang om tijdens het onderzoek een indruk te verkrijgen van de ernst van de pijn en de ervaren hinder. Het is van belang de ernst van de eventuele uitvalsverschijnselen te documenteren.
De huisarts onderzoekt de:
  • motoriek: extensie van de grote teen en de knie (met en zonder weerstand) en het op de tenen en op de hakken lopen (let op rechts-linksverschillen);
  • achillespeesachillespeesreflex- en kniepeesreflexkniepeesreflex (let op rechts-linksverschillen);
  • sensibiliteit van de verschillende dermatomen van het been (zie [tabel 1]) (let op rechts-linksverschillen);
  • omgekeerde proef van Lasègue (optioneel, alleen bij verdenking op een hoog lumbaal radiculair syndroom, zie [kader]);
  • proef van Lasègue en de gekruiste proef van Lasègue (zie [kader]) en/of;
  • maximale vinger-vloerafstand bij vooroverbuigen (zie [kader])

Vervolgonderzoek bij vermoeden van een cauda-equinasyndroom:
  • sensibiliteit van het rijbroekgebied;
  • anaalreflex (optioneel, zie [kader]).

Verricht bij een vermoeden van neurogene claudicatio intermittens ook onderzoek, gericht op het uitsluiten van perifeer arterieel vaatlijden (zie de NHG-Standaard Perifeer arterieel vaatlijden).

Uitvoering (gekruiste/omgekeerde) proef van Lasègue, de maximale vinger-vloerafstand en anaalreflex

De proef van Lasègueproef van Lasègue wordt uitgevoerd door bij een patiënt in rugligging het aangedane been (in de knie gestrekt) op te tillen, met vermijding van rotatie, ab- en adductie in de heup. De proef is positief als deze manoeuvre binnen een kleinere hoek dan 60 tot 70° tussen gestrekt been en ondergrond gepaard gaat met (een verergering van) de pijn die volgens een dermatomaal patroon tot onder de knie uitstraalt. De pijn die bij de proef van Lasègue optreedt ontstaat door rek van de geïrriteerde of beknelde zenuw. Wortelprikkeling is meer waarschijnlijk naarmate de pijn optreedt bij geringere flexie in de heup. Deze proef heeft een hoge sensitiviteit; een negatieve Lasègue maakt de diagnose LRS minder waarschijnlijk.15
De gekruiste proef van Lasègue wordt uitgevoerd door bij een patiënt in rugligging het contralaterale been op te tillen. De proef is positief als het heffen van het contralaterale been gepaard gaat met een pijnreactie in het aangedane been volgens hetzelfde patroon als bij de gewone proef van Lasègue. Deze proef heeft een hoge specificiteit; een positieve gekruiste proef van Lasègue maakt een LRS meer waarschijnlijk.
De omgekeerde proef van Lasègue wordt uitgevoerd door bij een patiënt in buikligging het aangedane been (in de knie gebogen) op te tillen. De proef is positief als deze manoeuvre gepaard gaat met (een verergering van de) uitstralende pijn in het been. Deze proef is zinvol bij (verdenking op) een hooglumbaal radiculair syndroom (discushernia op niveau L1-L2, L2-L3, L3-L4).
De maximale vinger-vloerafstandvinger-vloerafstand wordt bepaald door de patiënt met gestrekte knieën zo ver mogelijk voorover te laten buigen en te laten proberen de vloer aan te raken. Indien de afstand tussen de vingers en de vloer op het moment dat de patiënt niet verder naar voren kan buigen (als gevolg van lumbale fixatie of door het optreden van pijn) groter is dan 25 cm, is de test positief.
De anaalreflex wordt opgewekt door direct links of rechts naast de anus te prikken (bijvoorbeeld met een wattenstokje), waarop de m. sphincter ani externus normaal gesproken contraheert. De reflex is bij een caudasyndroom niet opwekbaar.

Aanvullend onderzoek

Bij aanwijzingen voor een ernstige oorzaak van het LRS, bij een cauda-equinasyndroom (zie Evaluatie) en/of indien de patiënt mogelijk in aanmerking komt voor operatieve behandeling, bestaat er een indicatie voor aanvullende beeldvormende diagnostiek (CT of MRI). Voor aanvraag hiervan dient de patiënt verwezen te worden naar de neuroloog (zie Consultatie/verwijzing).
Aanvraag van aanvullend beeldvormend onderzoekLRS bij de overige patiënten met een LRS (al dan niet door de huisarts) wordt ontraden.
Disci en wortelcompressie zijn op een conventionele röntgenfoto niet waarneembaar en dit onderzoek heeft dan ook geen rol in de diagnostiek bij een LRS.
De belangrijkste argumenten om als huisarts ook geen CT- of MRI-diagnostiek aan te vragen zijn allereerst de hoge prevalentie van (over het algemeen asymptomatische) degeneratieve afwijkingen, inclusief discushernia’s, die niet automatisch de klachten verklaren. Het is derhalve noodzakelijk om nauwkeurig de klachten van de patiënt aan (het niveau van) de eventuele afwijkingen op de MRI te kunnen relateren. De hoge prevalentie van afwijkingen op een CT- of MRI-scan, die over het algemeen geen klinische betekenis hebben, kunnen aanleiding geven tot onnodige ongerustheid bij de patiënt, met medicalisering en/of angst om te bewegen als gevolg. Daarnaast heeft het verrichten van beeldvormende diagnostiek geen consequenties voor het beleid indien er geen vermoeden bestaat van een ernstige oorzaak van het LRS (zie Evaluatie) en/of er geen indicatie is voor operatieve behandeling. Ten slotte zijn er geen aanwijzingen dat het verrichten van beeldvormende diagnostiek tot een sneller herstel leidt.16,17,18
Om dezelfde redenen wordt het ook bij patiënten met neurogene claudicatio intermittens ontraden om als huisarts beeldvormend onderzoek aan te vragen. Patiënten met ernstige klachten worden verwezen naar de neuroloog.
Er is consensus met de Nederlandse Vereniging voor Neurologie (NVN), de Nederlandse Vereniging voor Neurochirurgie (NVVN) en de Nederlandse Orthopaedische Vereniging (NOV) dat ook in de tweede lijn geen beeldvormende diagnostiek wordt verricht, indien er geen vermoeden bestaat van een ernstige oorzaak van de klachten en er geen indicatie is voor invasieve interventie, zoals ook verwoord in ‘Verstandige keuzes bij een lage rughernia’ van de Orde van Medisch Specialisten, ZonMw en NPCF.2
Aanvullende diagnostiek bij vermoeden van een maligniteit als oorzaak van het LRS door middel van een röntgenfoto van de wervelkolom of bepaling van de BSE wordt niet aanbevolen, aangezien normale bevindingen bij deze onderzoeken een maligniteit van de wervelkolom met onvoldoende zekerheid uitsluiten.19

Evaluatie

Stel de diagnose LRS als de patiënt volgens een dermatomaal patroon uitstralende pijn in één been heeft, eventueel in combinatie met een parese, sensibiliteitsstoornis en/of een verlaagde of afwezige reflex, herleidbaar tot één (soms twee) lumbosacrale zenuwwortel(s) (zie [tabel 1]). Een positieve (gekruiste) proef van Lasègue en/of een maximale vinger-vloerafstand > 25 cm maken de diagnose LRS meer waarschijnlijk. Een negatieve bevinding bij deze testen sluit de diagnose LRS echter niet uit. Bij pijn die naar de genitaalstreek, de laterale zijde van het bovenbeen of naar de lies uitstraalt, is er mogelijk sprake van compressie van de zenuwwortel L2, L3 of L4.
Voor de conservatieve behandeling is het niet noodzakelijk om het niveau van de gecomprimeerde zenuwwortel vast te stellen.
Stel vervolgens vast of er aanwijzingen zijn voor een ernstig beloop. Indicaties voor (spoed)verwijzing naar de neuroloog zijn (zie [stroomdiagram]):
  • Cauda-equinasyndroom: (uni- of bilaterale) motorische of sensibele uitval (rijbroekanesthesie) al dan niet in combinatie met hevige radiculaire pijn, urineretentie, incontinentie voor urine en/of feces. Indien door de neuroloog compressie van de cauda-equina wordt vastgesteld is een spoedoperatie geïndiceerd.
  • Ernstige parese (beweging die geen weerstand overwint) of in de loop van enkele dagen progressieve parese.20

Beoordeel ten slotte of er aanwijzingen zijn voor een andere oorzaak van het LRS dan een discushernia. Dit is bij circa 10% van de patiënten het geval. In [tabel 3] staan − over het algemeen ernstige − aandoeningen beschreven die gepaard kunnen gaan met radiculaire pijnklachten.21
De aanwezigheid van een enkel kenmerk hoeft niet direct op ernstige pathologie te wijzen; een combinatie van verschillende kenmerken, zeker bij een onverklaarbaar langdurig of progressief beloop, vergroot de waarschijnlijkheid dat de pijnklachten door een andere aandoening dan een discushernia worden veroorzaakt. Bij vermoeden van een ernstige oorzaak van de klachten dient (spoed)verwijzing naar de neuroloog plaats te vinden (zie Consultatie/verwijzing). Verwijs patiënten met een maligniteit in de voorgeschiedenis en een LRS bij voorkeur dezelfde dag, maar in ieder geval binnen drie dagen naar de neuroloog; overleg bij twijfel over de indicatie (bijvoorbeeld in geval van een in het verleden curatief behandelde maligniteit) en/of de gewenste termijn van beoordeling.22
Tabel3Aandoeningen die gepaard kunnen gaan met een LRS en de bijbehorende risicofactoren/kenmerken
AandoeningRisicofactoren/kenmerken
Maligniteit (wervelmetastasen of leptomeningeale metastasen)
  • Maligniteit in de voorgeschiedenis (vooral mamma-, prostaat- en longcarcinoom)
  • Leeftijd > 50 jaar
  • Continue pijn onafhankelijk van houding of bewegen
  • Op de voorgrond staande rugpijn
  • Nachtelijke verergering van de pijn
  • (Uitgebreide) neurologische uitvalsverschijnselen, vaak bilateraal
  • Algehele malaise
  • Onverklaard gewichtsverlies
Wervelfractuur(zie NHG-Standaard Fractuur-preventie)
  • Klachten aansluitend aan een (hoogenergetisch) trauma
  • Vrouwelijk geslacht
  • Langdurig gebruik van corticosteroïden
  • Postuurverandering (versterkte thoracale kyfose)
  • Lengtevermindering
  • Plotseling ontstaan van de klachten
  • Laag lichaamsgewicht
Spondylodiscitis/epiduraal abces
  • Koorts, koude rillingen
  • Onverklaard gewichtsverlies
  • Intraveneus drugsgebruik
  • Comorbiditeit: immuuncompromitterende aandoeningen24
  • Recente rugoperatie, epidurale injectie, lumbaalpunctie of zenuwwortelblokkade
  • Op de voorgrond staande rugpijn
  • Onvoldoende reactie op (hooggedoseerde) pijnmedicatie
  • Snel progressieve neurologische uitval
Epiduraal hematoom
  • Recente rugoperatie, epidurale injectie, lumbaalpunctie of zenuwwortelblokkade
  • (Iatrogene) stollingsstoornis
Radiculitis (bijvoorbeeld door B. Burgdorferi of H. Zoster)
  • Algehele malaise
  • Uitval verschillende zenuwwortels (polyradiculopathie)
  • Comorbiditeit: immuuncompromitterende aandoeningen
  • Recente tekenbeet, erythema migrans, hersenzenuwuitval, artritis, koorts
Stel de diagnose neurogene claudicatio intermittens bij uitstralende pijn of een vermoeid gevoel in (meestal) beide benen of het rijbroekgebied, eventueel gepaard gaande met krachtverlies, dove gevoelens en tintelingen. De klachten treden typisch op na enige tijd lopen en verdwijnen binnen vijftien minuten na zitten of vooroverbuigen. De radiculaire provocatietesten zijn over het algemeen negatief en ook bij het overige lichamelijk onderzoek worden meestal geen afwijkingen gevonden.25 Overweeg bij afwezige perifere arteriële pulsaties en afname van de klachten bij staan, de diagnose perifeer arterieel vaatlijden (zie de NHG-Standaard Perifeer arterieel vaatlijden).26
Naast een LRS en neurogene claudicatio kunnen, onder andere, ook de volgende aandoeningen gepaard gaan met pijn, motorische en/of sensibele uitval in het been: aspecifieke lagerugpijn met uitstraling (zie NHG-Standaard Aspecifieke lagerugpijn), aandoeningen in en om het sacro-iliacale gewricht en de heup, plexuspathologie, meralgia paraesthetica, tarsaletunnelsyndroom en compressieneuropathie van de nervus peroneus.27

Richtlijnen beleid

Het beleid bij een LRS, vermoedelijk op basis van een discushernia, bestaat uit voorlichting, begeleiding, pijnbestrijding en maatregelen tot behoud of herstel van het dagelijks functioneren.
Wacht bij afwezigheid van aanwijzingen voor een ernstig beloop of ernstige oorzaak gedurende de eerste periode van zes tot acht weken het spontaan herstel af. Het beleid bestaat naast pijnmedicatie uit een activerende benadering, eventueel onder begeleiding van een fysiotherapeut. Bij onvoldoende verbetering van de pijn of uitvalsverschijnselen na zes tot acht weken bespreekt de huisarts met de patiënt de mogelijkheid van operatieve interventie (na verwijzing in de regel uitgevoerd bij een klachtenduur van 12 weken). De evaluatie en het beleid bij een LRS staan samengevat in het [stroomdiagram].
Ook bij neurogene claudicatio intermittens is de behandeling in opzet conservatief.28 De huisarts verwijst de patiënt eventueel naar de fysiotherapeut. Zo nodig wordt pijnmedicatie voorgeschreven conform het beleid bij een LRS, waarbij over het algemeen wordt uitgekomen met minder hoge doseringen dan bij een LRS maar − in verband met het chronische karakter van de aandoening − langer gebruik van pijnmedicatie nodig kan zijn. De huisarts bespreekt met de patiënt of verwijzing naar de neuroloog geïndiceerd is, zoals bij diagnostische onzekerheid, ernstige of progressieve klachten. Bij ernstige of progressieve klachten zal operatieve behandeling worden overwogen.29 Het beleid bij neurogene claudicatio intermittens wordt in het vervolg van de tekst onder Richtlijnen Beleid buiten beschouwing gelaten.

Voorlichting

De huisarts bespreekt de volgende punten met de patiënt en houdt daarbij rekening met de mogelijke angsten en onzekerheden die er bij de patiënt leven.

Klachtenduur korter dan zes tot acht weken

  • Aard van de aandoening: bij een LRS is sprake van prikkeling van een zenuwwortel in de rug, meestal doordat een tussenwervelschijf uitpuilt. Dit leidt tot uitstralende pijn, en soms ook tot gevoelsstoornissen en krachtverlies in het verzorgingsgebied van deze zenuw. De uitpuilende tussenwervelschijf trekt zich in de meeste gevallen vanzelf weer terug. Vijfenzeventig procent van de patiënten herstelt dan ook in de eerste drie maanden, merendeels zonder specifieke maatregelen. De risicofactoren voor het optreden van een recidief zijn niet bekend.12
  • Mate van activiteiten: adviseer in beweging te blijven en door te gaan met de dagelijkse activiteiten voor zover de klachten dit toelaten. Indien juist bij liggen de klachten duidelijk minder zijn, kan de patiënt bedrust houden, maar bedrust draagt niet bij aan een sneller herstel. Geadviseerd wordt om de periode met bedrust zo kort mogelijk te houden. In de meeste gevallen is het voldoende om bewegingen die de pijn provoceren of de rug belasten tijdelijk te vermijden.30 Patiënten die ondanks ernstige klachten volledig willen functioneren, moet worden geadviseerd gedoseerd te bewegen en om rustmomenten in te bouwen.
  • Beeldvormende diagnostiek: leg uit dat er geen reden is om beeldvormende diagnostiek te verrichten. De belangrijkste argumenten hiervoor zijn het ontbreken van consequenties voor het beleid en de hoge prevalentie van (degeneratieve) afwijkingen, inclusief discushernia’s, die meestal geen klinische betekenis hebben (zie Aanvullende diagnostiek). Bijkomend argument zijn de hoge kosten van CT/MRI-onderzoek. Ook door de neuroloog, neurochirurg of orthopeed wordt er geen beeldvormende diagnostiek verricht als er geen aanwijzingen voor een ernstige oorzaak van de klachten zijn en/of er (nog) geen indicatie is voor invasieve behandeling.
  • Restverschijnselen: ook al verdwijnt de uitstralende pijn, de tegelijkertijd aanwezige lagerugpijn kan langer blijven bestaan. Een lichte parese of gevoelsstoornissen herstellen meestal grotendeels, maar kunnen zowel na een conservatieve behandeling als na een operatie geruime tijd aanwezig blijven.
  • Behandeling: gezien de grote kans op spontaan herstel wordt over het algemeen gedurende twaalf weken een conservatief beleid gevoerd alvorens eventueel een operatie uit te voeren. Indien na zes tot acht weken de pijnklachten en/of uitvalsverschijnselen onvoldoende zijn afgenomen, gaat de huisarts na of de patiënt de voorkeur geeft aan operatieve interventie of een in opzet voortgezette conservatieve behandeling (zie Klachtenduur langer dan zes tot acht weken). Het beloop na een operatie is niet beter wanneer de operatie vroeger in het beloop van een LRS plaatsvindt.
  • Arbeidssituatie: adviseer, als naar de mening van patiënt of huisarts de klachten mogelijk hun oorzaak vinden in de arbeidssituatie dan wel een gevolg hebben voor die arbeidssituatie, de patiënt contact op te nemen met de bedrijfsarts, indien dat nog niet is gebeurd. Indien de patiënt en bedrijfsarts contact met elkaar hebben gehad, zoekt de huisarts – indien daar aanleiding toe is (en de patiënt daar toestemming toe geeft) – ook zelf contact met de betreffende collega om het beleid onderling af te stemmen.
  • Aanwijzingen voor een ernstig beloop: adviseer de patiënt in de volgende gevallen direct contact op te nemen met de huisarts:
      • bij het ontstaan van een doof gevoel in het rijbroekgebied;
      • bij ongewild verlies van urine of ontlasting of juist niet kunnen plassen;
      • bij toenemend verlies van spierkracht in de benen.

Klachtenduur langer dan zes tot acht weken

Bij geringe pijnklachten of indien de pijnklachten inmiddels duidelijk zijn verbeterd heeft het voortzetten van het conservatieve beleid over het algemeen de voorkeur. Dit geldt ook voor patiënten bij wie rugpijn op de voorgrond staat. Indien de pijnklachten en/of uitvalsverschijnselen echter onvoldoende zijn afgenomen, zijn (in opzet) voortgezette conservatieve behandeling en operatieve interventie (bij een klachtenduur van twaalf weken) − in grote lijnen − gelijkwaardige behandelopties.31 Er zijn geen patiëntengroepen te definiëren (bijvoorbeeld op basis van ernst van de pijn of geslacht) waarbij de voordelen van operatie, zoals een sneller herstel en snellere vermindering van de pijn, groter zijn. De huisarts weegt, in samenspraak met de patiënt, de voor- en nadelen van de twee behandelopties af. De aspecten die hierbij van belang zijn, staan samengevat in [tabel 4]. Bij de besluitvorming wordt rekening gehouden met beïnvloedende factoren, zoals comorbiditeit (bijvoorbeeld adipositas), de sociale context en de noodzaak om weer snel functioneel te zijn (zie ook Operatieve behandeling).
Tabel4Afwegingen bij de keuze tussen voortgezette conservatieve behandeling en operatieve behandeling (bij een klachtenduur van gemid
Voortgezette conservatieve behandeling Operatieve behandeling
Interventie Gedoseerd bewegen, eventueel analgetica en/of fysiotherapie.Operatie, waarvoor ziekenhuisopname en narcose.
Klachtenbeloop Gemiddeld (enkele weken) langere klachtenduur dan na operatieve behandeling, waardoor naar verwachting ook later terug in het arbeidsproces.Bij circa 60% van de patiënten met hevige klachten verbeteren de klachten zodanig dat een operatie niet nodig is. 40% van de patiënten ondergaat na gemiddeld 20 weken alsnog een operatie vanwege onvoldoende herstel.Gemiddeld (enkele weken) kortere klachtenduur ten opzichte van voortgezette conservatieve behandeling, waardoor naar verwachting ook eerder terug in het arbeidsproces.3,2% van de patiënten ontwikkelt recidiefklachten, waarvoor een tweede operatie nodig is.Meestal geen invloed op eventueel aanwezige rugpijn.
Herstel na 1 jaar Na 1 jaar is 95% van de patiënten volledig of bijna volledig hersteld. Dit is vergelijkbaar met de uitkomst na operatieve behandeling.Na 1 jaar is 95% van de patiënten volledig of bijna volledig hersteld. Dit is vergelijkbaar met de uitkomst na voortgezette conservatieve behandeling.
Complicaties Gemiddeld langer en meer analgetica (met mogelijke complicaties) nodig dan na operatieve behandeling.Bloeding (5%), duralek met liquorlekkage (3-4%), wondinfectie (2-3%), exploratie van het verkeerde niveau (1,2-3,3%).Ernstige complicaties met mogelijk (toename van) uitvalsverschijnselen (circa 1%):
  • spondylodiscitis &lt 1%;
  • zenuwwortelbeschadiging (0,3%);
  • liquorfistel (0,1%);
  • epiduraal hematoom met caudasyndroom (0,1-0,2%);
  • retroperitoneale vasculaire laesie (0,05%).
* Bij de afwegingen zijn waar mogelijk kwantitatieve data gebruikt; op diverse punten zijn echter geen betrouwbare data beschikbaar.
Verwijs in aansluiting op de gegeven mondelinge voorlichting naar de informatie over lumbosacraal radiculair syndroom op de NHG-publiekswebsite www.thuisarts.nl waar ook de keuzehulp ‘Hernia in de onderrug’ te vinden is (http://keuzehulpen.thuisarts.nl/node/16) en de audiovisuele keuzehulp (www.youtube.com/watch?v=UkFIR42Rzy0). Ook kan de betreffende tekst uit het HIS worden meegeven. Deze patiënteninformatie is gebaseerd op de NHG-Standaard. Ten slotte kan de huisarts de patiënt wijzen op het bestaan van de patiëntenvereniging, de Nederlandse Vereniging van Rugpatiënten ‘De Wervelkolom’.
De huisarts geeft de patiënt de tijd en gelegenheid om zich op de voorgelegde keuze verder te beraden en maakt een vervolgafspraak om het besluit gezamenlijk te bespreken.

Niet-medicamenteuze behandeling

Stimuleer de patiënt zoveel mogelijk door te gaan met de dagelijkse activiteiten − inclusief werk – voor zover de klachten dat toelaten. Stapsgewijze uitbreiding van het bewegingspatroon en de belasting daarbij dienen in het begin te geschieden op geleide van de pijn, met dien verstande dat als bewegen een belangrijke verergering van de klachten veroorzaakt, de patiënt gedurende enkele dagen bedrust mag houden. Bedrust draagt echter niet bij aan een sneller herstel. Bij goede vooruitgang worden de activiteiten in zes tot twaalf weken tot het oude niveau uitgebreid.
Routinematige verwijzing naar de fysiotherapeut wordt niet aanbevolen. Indien een patiënt na enkele weken (naar inschatting van de huisarts) een intensievere activerende begeleiding behoeft, kan de huisarts de patiënt naar een fysiotherapeut verwijzen. Dit zal vooral het geval zijn bij bewegingsangst dan wel -armoede. Begeleiding door een fysiotherapeut kan ook zinvol zijn bij patiënten die ondanks ernstige klachten volledig willen functioneren en enigszins afgeremd moeten worden. In geval van een parese met invloed op het bewegingspatroon wordt verwijzing geadviseerd voor begeleiding en (houdings)adviezen.32 Verwijzing naar een manueel therapeut voor behandeling met technieken als manipulatie en tractie wordt niet aanbevolen.33
Neem, vooral bij een langdurig of progressief beloop, contact op met de bedrijfsarts om het beleid onderling af te stemmen.34

Medicamenteuze behandeling

Pijnmedicatie

Pijnbestrijding is, zeker bij hevige pijnklachten, van groot belang. Mede ter voorkoming van vroegtijdige verwijzing en operatieve interventie. Streef adequate pijnstilling na conform het stappenplan, zoals beschreven in de Farmacotherapeutische Richtlijn (FTR) Medicamenteuze pijnbestrijding (die in 2015 wordt vervangen door de NHG-Standaard Pijn). De volgende aanbevelingen zijn specifiek van toepassing op de behandeling van patiënten met een LRS.35
Start behandeling
  • Schrijf de medicatie op vaste tijden (tijdcontingent) voor. Overweeg voor de nacht een hogere dosering voor te schrijven.
  • Volg het stappenplan. Overweeg bij hevige pijn en/of contra-indicaties voor NSAID’s één of twee stappen over te slaan. In dit geval kan direct worden gestart met behandeling met (zwakwerkende) opiaten (in combinatie met paracetamol en, indien er geen contra-indicaties zijn, NSAID’s).
  • Start, in geval van behandeling met opiaten, met een snelwerkend preparaat (bijvoorbeeld morfine oraal of parenteraal zonder gereguleerde afgifte). Behandel bij chronische pijn met een langwerkend preparaat (bijvoorbeeld morfine retard).
  • Beoordeel of er een indicatie is voor maagbescherming (zie de NHG-Standaard Maagklachten).
  • Zie voor algemene aanbevelingen ten aanzien van toepassing van analgetica (bijvoorbeeld de preventie van obstipatie bij gebruik van opiaten) de FTR Medicamenteuze pijnbestrijding (die in 2015 wordt vervangen door de NHG-Standaard Pijn).

Vervolg behandeling
  • Hoog de medicatie, op geleide van de pijn, volgens het stappenplan op. Hoog de medicatie bij hevige pijn snel op.
  • Evalueer bij de controles de eventuele bijwerkingen: streef naar een evenwicht met voldoende pijnstilling en acceptabele bijwerkingen.
  • Houd bij het gebruik van opiaten rekening met het optreden van urineretentie als bijwerking (en onderscheid dit van een cauda-equinasyndroom).
  • Indien hevige pijn na een paar dagen behandeling met voldoende hoog gedoseerde opiaten onvoldoende is afgenomen, dient verwijzing naar de neuroloog plaats te vinden voor aanvullende diagnostiek naar de oorzaak van de hevige pijn.
  • Bouw bij herstel van het LRS de pijnstilling geleidelijk af, op geleide van de pijnklachten.
  • Heroverweeg bij patiënten met persisterende LRS-klachten, bij wie onvoldoende pijnstilling met opiaten wordt bereikt, of er sprake kan zijn van een ernstige oorzaak. Overweeg, indien dit niet het geval is, (off-label) behandeling met neuropathische pijnmedicatie volgens het stappenplan neuropathische pijn (zie de FTR Medicamenteuze pijnbestrijding, die in 2015 wordt vervangen door de NHG-Standaard Pijn). Ook bij patiënten die niet in aanmerking komen voor operatieve interventie, bijvoorbeeld door comorbiditeit, en bij patiënten bij wie een operatie onvoldoende effectief was, is (off-label) behandeling met neuropathische pijnmedicatie een mogelijkheid.

Overige middelen

Gebruik van benzodiazepinenLRS wordt ontraden bij patiënten met een LRS, aangezien een gunstig effect van de beoogde spierverslapping op de pijnklachten of functionaliteit nooit is aangetoond, terwijl deze middelen wel bijwerkingen hebben en kans op verslaving bestaat. Bij angstklachten is een goede voorlichting over het natuurlijk beloop van groot belang. Bij slaapproblemen als gevolg van pijn heeft optimalisatie van de pijnmedicatie de voorkeur.36
Het wordt niet aanbevolen om patiënten met een LRS vanuit de eerste lijn rechtstreeks te verwijzen voor behandeling met epidurale corticosteroïdinjecties, vanwege het ontbreken van bewijs voor de effectiviteit van deze middelen en de onduidelijkheid over het optreden en de ernst van bijwerkingen en complicaties.
Binnen de tweede lijn gehanteerde indicaties voor verwijzing naar de anesthesist voor behandeling met epidurale corticosteroïdinjecties bij een LRS zijn: pijn die niet op opiaten reageert bij patiënten met een klachtenduur korter dan zes tot acht weken, hevige pijn én een contra-indicatie voor operatieve interventie en onduidelijkheid ten aanzien van het te opereren niveau bij aanwezigheid van verschillende discushernia’s.37

Operatieve behandeling

Chirurgische interventie, met als doel het bewerkstelligen van decompressie van de betrokken zenuwwortel, en (in opzet) voortgezette conservatieve behandeling zijn bij patiënten met een klachtenduur van gemiddeld twaalf weken − in grote lijnen − gelijkwaardige behandelopties. Hoewel chirurgische interventie tot een sneller herstel van functionaliteit en een snellere afname van de beenpijn leidt, zijn de uitkomsten na 1 jaar vergelijkbaar met de uitkomsten na een voortgezette conservatieve behandeling. Na een voortgezette conservatieve behandeling wordt uiteindelijk 40% van de patiënten geopereerd. Bij patiënten met geringe pijnklachten of voldoende verbetering heeft het dan ook de voorkeur het conservatieve beleid langer voort te zetten.
De huisarts informeert de patiënt bij wie na zes tot acht weken de pijnklachten en/of uitvalsverschijnselen onvoldoende zijn afgenomen, over de voor- en nadelen van operatieve interventie alvorens hij de patiënt naar de neuroloog verwijst (zie Voorlichting). De hier genoemde termijn van zes tot acht weken is mede afhankelijk van de regionale doorlooptijd van verwijzing naar de neuroloog tot operatie.
Verwijzing naar behandelaars die buiten onderzoeksverband nieuwe (endoscopische) technieken propageren om decompressie van een gecomprimeerde zenuwwortel door een discushernia te bewerkstelligen, wordt niet aanbevolen. Er is vooralsnog geen bewijs dat deze methoden (kosten)effectiever zijn of tot minder complicaties leiden dan microdiscectomie. Daarnaast zijn de langetermijneffecten van deze behandelingen niet bekend.38

Controles

Het doel van de controles is het vervolgen van het beloop van het LRS, evaluatie van de pijnbestrijding en hoe de patiënt met de pijn omgaat, het activiteitenniveau en het tijdig onderkennen van een afwijkend beloop.
Aandachtspunten zijn:
  • Beloop: vervolg het beloop aan de hand van de pijn (eventueel met behulp van een pijnschaal), de eventuele motorische uitval en de proef van Lasègue en/of maximale vinger-vloerafstand.39 Blijf alert op aanwijzingen voor een ernstige oorzaak van de klachten, vooral bij aanwezigheid van kenmerken zoals beschreven in [tabel 3] en bij een onverklaarbaar langdurig of progressief beloop.
  • Mate van activiteiten: beoordeel of het activiteitenniveau kan worden uitgebreid; verwijs bij bewegingsarmoede of -angst naar de fysiotherapeut.
  • Pijnbestrijding: vraag actief naar de effectiviteit van de medicatie, bijwerkingen en de invloed van medicatie op het dagelijks functioneren. Pas zo nodig de medicatie aan op geleide van de pijnklachten. Verwijs de patiënt met hevige pijn ondanks hoog gedoseerde pijnmedicatie naar de neuroloog voor verdere diagnostiek naar de oorzaak van de hevige pijn.
  • Restverschijnselen: het is raadzaam om na verbetering van het LRS bij de laatste controle de ernst van de eventueel nog aanwezige uitvalsverschijnselen en reflexverschillen vast te leggen met het oog op eventuele recidieven.

De frequentie van de controles hangt af van de ernst van de klachten en de verwachte noodzaak tot evaluatie en bijstelling van de ingestelde behandeling:
  • Bij hevige pijn of een geringe parese: controleer de eerste dagen − zo nodig dagelijks − of er verslechtering optreedt.
  • Bij minder hevige klachten: controleer afhankelijk van het beloop, na twee tot vier dagen en vervolgens eenmaal per twee weken.
  • Bij klachten die mogelijk passen bij een cauda-equinasyndroom (zie Achtergronden) moet de patiënt binnen enkele uren worden beoordeeld (U3-urgentie).

Postoperatief beleid

Patiënten die een lumbale herniaoperatie hebben ondergaan worden gestimuleerd hun activiteiten op te pakken op geleide van hun klachten. Er is geen reden om terughoudend te zijn in activiteiten, hetgeen echter niet betekent dat patiënten direct alles weer kunnen. Tillen wordt gedurende de eerste weken postoperatief niet aanbevolen. Een (intensief) activerend oefenprogramma wordt niet routinematig aangeboden, maar is wel geïndiceerd bij patiënten met onvoldoende verbetering van de functionaliteit en/of onvoldoende afname van de pijn vier tot zes weken postoperatief en bij patiënten met bewegingsarmoede en/of -angst. Direct postoperatief kan, indien de patiënt dit wenst, kortdurende begeleiding door een fysiotherapeut van nut zijn, vooral gericht op advisering van de patiënt. Cognitief-gedragsmatige behandelprogramma’s zijn niet geïndiceerd aangezien deze niet effectiever zijn dan reguliere activerende oefenprogramma’s.
Indien sprake is van onvoldoende verbetering van de klachten na drie maanden verwijst de huisarts de patiënt terug naar de behandelend operateur.
Bij een toename van de klachten na een operatie, dient de huisarts direct te overleggen met de behandelend neurochirurg of orthopeed in verband met mogelijke complicaties van een lumbale discusoperatie die directe interventie behoeven, zoals een epiduraal hematoom (minder dan drie dagen postoperatief, bij gebruik van antistolling minder dan twee weken postoperatief) of spondylodiscitis (minder dan drie maanden postoperatief). Ook bij verdenking op andere complicaties, zoals hoofdpijn als gevolg van duralekkage, is eerdere terugverwijzing naar de operateur aangewezen.
Bij recidiefklachten handelt de huisarts conform het beleid bij een eerste episode van LRS-klachten. Een uitzondering hierop is een kort interval tussen een voorafgaande discusherniaoperatie en het ontstaan van recidiefsymptomen. Overleg in dit geval met de behandelend neurochirurg of orthopeed.40

Beleid bij chronische pijn

Bij patiënten met persisterende LRS-klachten die niet in aanmerking komen voor operatieve interventie, bijvoorbeeld door comorbiditeit, en bij patiënten bij wie een operatie onvoldoende effectief was, is (off-label) behandeling met neuropathische pijnmedicatie een mogelijkheid.35 Bij onvoldoende verbetering van de klachten ondanks behandeling met hoog gedoseerde pijnstillers, valt verwijzing naar de pijnpolikliniek te overwegen. In verband met de noodzaak om andere oorzaken van de pijn dan een discushernia uit te sluiten, is het advies om deze verwijzing via de neuroloog te laten verlopen. Indien de diagnostiek reeds is afgerond, kan de verwijzing ook rechtstreeks plaatsvinden. Bij patiënten met persisterende rugpijn of pijn in het been (al dan niet na operatie), waarvoor de neuroloog en/of neurochirurg geen substraat vindt, volgt de huisarts hetzelfde beleid

Literatuur

  • 1.Bij verwijzingen naar NHG-producten: zie www.nhg.org.
  • 2.Anonymus. Diagnostiek en behandeling van het lumbosacraal radiculair syndroom. http://www.gezondheidsraad.nl/sites/default/files/9918N.pdf [Internet]. 1999.
  • 3.Albert HB, Manniche C. The efficacy of systematic active conservative treatment for patients with severe sciatica: a single-blind, randomized, clinical, controlled trial. Spine (Phila Pa 1976) 2012;37:531-42.
  • 4.Albert HB, Sorensen JS, Christensen BS, Manniche C. Antibiotic treatment in patients with chronic low back pain and vertebral bone edema (modic type 1 changes): a double-blind randomized clinical controlled trial of efficacy. Eur Spine J 2013a;22:697-707.
  • 5.Albert HB, Lambert P, Rollason J, Sorensen JS, Worthington T, Pedersen MB, et al. Does nuclear tissue infected with bacteria following disc herniations lead to modic changes in the adjacent vertebrae? Eur Spine J 2013b;22:690-6.
  • 6.Ammendolia C, Stuber KJ, Rok E, Rampersaud R, Kennedy CA, Pennick V, et al. Nonoperative treatment for lumbar spinal stenosis with neurogenic claudication. Cochrane Database Syst Rev 2013;8:CD010712.
  • 7.Ash LM, Modic MT, Obuchowski NA, Ross JS, Brant-Zawadzki MN, Grooff PN. Effects of diagnostic information, per se, on patient outcomes in acute radiculopathy and low back pain. AJNR of Am J Neuroradiol 2008;29:1098-103.
  • 8.Ashworth J, Konstantinou K, Dunn KM. Prognostic factors in non-surgically treated sciatica: a systematic review. BMC Musculoskelet Disord 2011;12:208.
  • 9.Bejia I, Younes M, Zrour S, Touzi M, Bergaoui N. Factors predicting outcomes of mechanical sciatica: a review of 1092 cases. Joint Bone Spine 2004;71:567-71.
  • 10.Benoist M, Boulu P, Hayem G. Epidural steroid injections in the management of low-back pain with radiculopathy: an update of their efficacy and safety. Eur Spine J 2012;21:204-13.
  • 11.Boden SD, Davis DO, Dina TS, Patronas NJ, Wiesel SW. Abnormal magnetic-resonance scans of the lumbar spine in asymptomatic subjects. A prospective investigation. J Bone Joint Surg Am. 1990;72:403-8.
  • 12.Boos N, Rieder R, Schade V, Spratt KF, Semmer N, Aebi M. 1995 volvo award in clinical sciences. The diagnostic accuracy of magnetic resonance imaging, work perception, and psychosocial factors in identifying symptomatic disc herniations. Spine (Phila Pa 1976.) 1995;20:2613-25.
  • 13.Botwin KP, Gruber RD, Bouchlas CG, Torres-Ramos FM, Freeman TL, Slaten WK. Complications of fluoroscopically guided transforaminal lumbar epidural injections. Arch Phys Med Rehabil 2000;81:1045-50.
  • 14.Brotz D, Maschke E, Burkard S, Engel C, Manz C, Ernemann U, et al. Is there a role for benzodiazepines in the management of lumbar disc prolapse with acute sciatica? Pain 2010;149:470-5.
  • 15.Chau AM, Xu LL, Pelzer NR, Gragnaniello C. Timing of surgical intervention in cauda equina syndrome: a systematic critical review. World Neurosurg 2013;81:640-50.
  • 16.Dahm KT, Brurberg KG, Jamtvedt G, Hagen KB. Advice to rest in bed versus advice to stay active for acute low-back pain and sciatica. Cochrane Database Syst Rev 2010:CD007612.
  • 17.De Schepper EIT, Overdevest GM, Suri P, Peul WC, Oei EHG, Koes BW, et al. Diagnosis of lumbar spinal stenosis: an updated systematic review of the accuracy of diagnostic tests. Spine (Phila Pa 1976) 2013;38:E469-81.
  • 18.Deyo RA, Jarvik JG, Chou R. Low back pain in primary care. BMJ 2014;349:g4266.
  • 19.Downie A, Williams CM, Henschke N, Hancock MJ, Ostelo RW, de Vet HC, et al. Red flags to screen for malignancy and fracture in patients with low back pain: systematic review. BMJ 2013;347:f7095.
  • 20.El Barzouhi A, Vleggeert-Lankamp CLAM, Lycklama AN, Van der Kallen BF, Van den Hout WB, Verwoerd AJH, et al. Magnetic resonance imaging interpretation in patients with sciatica who are potential candidates for lumbar disc surgery. PLoS One 2013;8:e68411.
  • 21.Ernst E. Adverse effects of spinal manipulation: a systematic review. J R Soc Med 2007;100:330-8.
  • 22.Fairbank J, Hashimoto R, Dailey A, Patel AA, Dettori JR. Does patient history and physical examination predict mri proven cauda equina syndrome? Evid Based Spine Care J 2011;2:27-33.
  • 23.Fraser S, Roberts L, Murphy E. Cauda equina syndrome: a literature review of its definition and clinical presentation. Arch Phys Med Rehabil 2009;90:1964-8.
  • 24.Heliovaara M, Impivaara O, Sievers K, Melkas T, Knekt P, Korpi J, et al. Lumbar disc syndrome in Finland. J Epidemiol Community Health 1987;41:251-8.
  • 25.Henschke N, Maher CG, Refshauge KM, Herbert RD, Cumming RG, Bleasel J, et al. Prevalence of and screening for serious spinal pathology in patients presenting to primary care settings with acute low back pain. Arthritis Rheum 2009;60:3072-80.
  • 26.Hoogenraad TU, Mastenbroek GG, Van Reedt Dortland RW. Klinisch denken en beslissen in de praktijk. Een verpleegster met pijn onder in de rug uitstralend naar beide benen. Ned Tijdschr Geneeskd 1998;142:1137-42.
  • 27.Hordijk JC, Luijsterburg PAJ, Koes BW, Verhagen AP. Prognostische factoren bij een lumbosacraal radiculair syndroom. Huisarts Wet 2010;53:474-8.
  • 28.Issack PS, Cunningham ME, Pumberger M, Hughes AP, Cammisa FP, Jr. Degenerative lumbar spinal stenosis: evaluation and management. J Am Acad Orthop Surg 2012;20:527-35.
  • 29.Jacobs WCH, Van Tulder M, Arts M, Rubinstein SM, Van Middelkoop M, Ostelo R, et al. Surgery versus conservative management of sciatica due to a lumbar herniated disc: a systematic review. Eur Spine J 2011;20:513-22.
  • 30.Jacobs WCH, Arts MP, Van Tulder MW, Rubinstein SM, Van Middelkoop M, Ostelo RW, et al. Surgical techniques for sciatica due to herniated disc, a systematic review. Eur Spine J 2012;21:2232-51.
  • 31.Jarvik JG, Deyo RA. Diagnostic evaluation of low back pain with emphasis on imaging. Ann Intern Med 2002;137:586-97.
  • 32.Jensen MC, Brant-Zawadzki MN, Obuchowski N, Modic MT, Malkasian D, Ross JS. Magnetic resonance imaging of the lumbar spine in people without back pain. N Engl J Med 1994;331:69-73.
  • 33.Johnsson KE, Rosen I, Uden A. The natural course of lumbar spinal stenosis. Clin Orthop Relat Res 1992:82-6.
  • 34.Koes BW, Van Tulder MW, Peul WC. Diagnosis and treatment of sciatica. BMJ 2007;334:1313-7.
  • 35.Konstantinou K, Dunn KM. Sciatica: Review of epidemiological studies and prevalence estimates. Spine (Phila Pa 1976) 2008;33:2464-72.
  • 36.Korse NS, Jacobs WCH, Elzevier HW, Vleggeert-Lankamp CLAM. Complaints of micturition, defecation and sexual function in cauda equina syndrome due to lumbar disk herniation: a systematic review. Eur Spine J 2013;22:1019-29.
  • 37.Kuks JBM, Snoek JW. Klinische neurologie. Houten: Bohn Stafleu van Loghum, 2012.
  • 38.Lequin MB, Verbaan D, Jacobs WCH, Brand R, Bouma GJ, Vandertop WP, et al. Surgery versus prolonged conservative treatment for sciatica: 5-year results of a randomised controlled trial. BMJ Open 2013;3:e002534.
  • 39.Luijsterburg PAJ, Verhagen AP, Braak S, Oemraw A, Avezaat CJ, Koes BW. General practitioners’ management of lumbosacral radicular syndrome compared with a clinical guideline. Eur J Gen Pract 2005;11:113-8.
  • 40.Luijsterburg PAJ, Verhagen AP, Ostelo RWJG, Van Os TAG, Peul WC, Koes BW. Effectiveness of conservative treatments for the lumbosacral radicular syndrome: A systematic review. Eur Spine J 2007a;16:881-99.
  • 41.Luijsterburg PAJ, Lamers LM, Verhagen AP, Ostelo RWJG, Van den Hoogen HJMM, Peul WC, et al. Cost-effectiveness of physical therapy and general practitioner care for sciatica. Spine (Phila Pa 1976.) 2007b;32:1942-8.
  • 42.Luijsterburg PAJ, Verhagen AP, Ostelo RWJG, Van den Hoogen HJMM, Peul WC, Avezaat CJJ, et al. Physical therapy plus general practitioners’ care versus general practitioners’ care alone for sciatica: a randomised clinical trial with a 12-month follow-up. Eur Spine J 2008;17:509-17.
  • 43.Lurie JD, Doman DM, Spratt KF, Tosteson ANA, Weinstein JN. Magnetic resonance imaging interpretation in patients with symptomatic lumbar spine disc herniations: comparison of clinician and radiologist readings. Spine (Phila Pa 1976) 2009;34:701-5.
  • 44.LWNO. Richtlijn voor diagnostiek en behandeling van spinale epidurale metastasen. http://www.oncoline.nl/uploaded/docs/spinale%20epidurale%20metastasen/Richtlijn%20SEM%20januari%202006%20(definitief).pdf. 2006.
  • 45.Miranda H, Viikari-Juntura E, Martikainen R, Takala EP, Riihimaki H. Individual factors, occupational loading, and physical exercise as predictors of sciatic pain. Spine (Phila Pa 1976) 2002;27:1102-9.
  • 46.Mulleman D, Mammou S, Griffoul I, Watier H, Goupille P. Pathophysiology of disk-related sciatica. I.--evidence supporting a chemical component. Joint Bone Spine 2006;73:151-8.
  • 47.NVAB. Richtlijn Handelen van de bedrijfsarts bij werknemers met rugklachten. Tijdschrift voor Bedrijfs- en Verzekeringsgeneeskunde (TBV). 2006;15(5):244-249.
  • 48.NVN, CBO. Richtlijn lumbosacraal radiculair syndroom. http://www.neurologie.nl/publiek/beroepsinformatie/richtlijnen/nvn richtlijnen [Internet]. 2008.
  • 49.Orde van Medische Specialisten. Verstandige keuzes bij een lage rughernia. http://www.kwaliteitskoepel.nl/assets/structured-files/Verstandig%20Kiezen/Verstandige%20Keuzes%20bij%20een%20rughernia_def%201.pdf [Internet]. 2014.
  • 50.Nygaard OP, Mellgren SI, Osterud B. The inflammatory properties of contained and noncontained lumbar disc herniation. Spine (Phila Pa 1976) 1997;22:2484-8.
  • 51.Oosterhuis H. Fysische diagnostiek-lumbosacrale radiculaire prikkelingsverschijnselen. Ned Tijdsch Geneeskd 1999;143:617-20.
  • 52.Oosterhuis T, Costa LOP, Maher CG, De Vet HCW, Van Tulder MW, Ostelo RWJG. Rehabilitation after lumbar disc surgery. Cochrane Database Syst Rev 2014;3:CD003007.
  • 53.Opstelten W, Rimmelzwaan GF, Van Essen GAT, Bijlsma JWJH. Influenzavaccinatie van patiënten met verminderde afweer: veilig en effectief. Ned Tijdschr Geneeskd 2009;153:A902.
  • 54.Ostelo RWJG, Goossens MEJB, De Vet HCW, Van den Brandt PA. Economic evaluation of a behavioral-graded activity program compared to physical therapy for patients following lumbar disc surgery. Spine (Phila Pa 1976) 2004;29:615-22.
  • 55.Peul WC, Van Houwelingen HC, Van den Hout WB, Brand R, Eekhof JAH, Tans JTJ, et al. Surgery versus prolonged conservative treatment for sciatica. N Engl J Med 2007;356:2245-56.
  • 56.Peul WC, Van den Hout WB, Brand R, Thomeer RTWM, Koes BW. Prolonged conservative care versus early surgery in patients with sciatica caused by lumbar disc herniation: Two year results of a randomised controlled trial. BMJ 2008;336:1355-8.
  • 57.Pinto RZ, Maher CG, Ferreira ML, Ferreira PH, Hancock M, Oliveira VC, et al. Drugs for relief of pain in patients with sciatica: Systematic review and meta-analysis. BMJ 2012a;344:e497.
  • 58.Pinto RZ, Maher CG, Ferreira ML, Hancock M, Oliveira VC, McLachlan AJ, et al. Epidural corticosteroid injections in the management of sciatica: A systematic review and meta-analysis. Ann Intern Med 2012b;157:865-77.
  • 59.Roland M, Van Tulder M. Should radiologists change the way they report plain radiography of the spine? Lancet 1998;352:229-30.
  • 60.Rushton A, Wright C, Goodwin P, Calvert M, Freemantle N. Physiotherapy rehabilitation post first lumbar discectomy: A systematic review and meta-analysis of randomized controlled trials. Spine (Phila Pa 1976) 2011;36:E961-72.
  • 61.Salomé M, Van de Mortel R, Wessels P, Van der Meulen M. Inspanningsgebonden pijn in het bovenbeen: Neurogeen of vasculair? Ned Tijdschr Geneeskd 2011;155:A3483.
  • 62.Santilli V, Beghi E, Finucci S. Chiropractic manipulation in the treatment of acute back pain and sciatica with disc protrusion: A randomized double-blind clinical trial of active and simulated spinal manipulations. Spine J 2006;6:131-7.
  • 63.Sharma H, Lee SWJ, Cole AA. The management of weakness caused by lumbar and lumbosacral nerve root compression. J Bone Joint Surg Br 2012;94:1442-7.
  • 64.Shiri R, Lallukka T, Karppinen J, Viikari-Juntura E. Obesity as a risk factor for sciatica: A meta-analysis. Am J Epidemiol 2014;179:929-37.
  • 65.Snijders TJ, Notermans NC. Progressieve, opstijgende neurologische uitval: Een spinaal epiduraal abces dat zich presenteert als het syndroom van Guillain-Barre. Ned Tijdschr Geneeskd 2008;152:1436-9.
  • 66.Stirling A, Worthington T, Rafiq M, Lambert PA, Elliott TS. Association between sciatica and Propionibacterium acnes. Lancet 2001;357:2024-5.
  • 67.Spijker-Huiges A, Groenhof F, Winters JC, Van Wijhe M, Groenier KH, Van der Meer K. Radiating low back pain in general practice: Incidence, prevalence, diagnosis, and long-term clinical course of illness. Scan J Prim Health Care 2015;33:27-32.
  • 68.Tubach F, Beaute J, Leclerc A. Natural history and prognostic indicators of sciatica. J Clin Epidemiol 2004;57:174-9.
  • 69.Van den Hoogen HJ, Koes BW, Deville W, Van Eijk JT, Bouter LM. The inter-observer reproducibility of lasegue’s sign in patients with low back pain in general practice. Br J Gen Pract 1996;46:727-30.
  • 70.Van den Hout WB, Peul WC, Koes BW, Brand R, Kievit J, Thomeer RTWM. Prolonged conservative care versus early surgery in patients with sciatica from lumbar disc herniation: Cost utility analysis alongside a randomised controlled trial. BMJ 2008;336:1351-4.
  • 71.Van der Windt DA, Simons E, Riphagen II, Ammendolia C, Verhagen AP, Laslett M, et al. Physical examination for lumbar radiculopathy due to disc herniation in patients with low-back pain. Cochrane Database Syst Rev 2010:CD007431.
  • 72.Van Rijn JC, Klemetso N, Reitsma JB, Majoie CBLM, Hulsmans FJ, Peul WC, et al. Observer variation in mri evaluation of patients suspected of lumbar disk herniation. AJR Am J Roentgenol 2005;184:299-303.
  • 73.Van Rijn RM, Wassenaar M, Verhagen AP, Ostelo RWJG, Ginai AZ, De Boer MR, et al. Computed tomography for the diagnosis of lumbar spinal pathology in adult patients with low back pain or sciatica: A diagnostic systematic review. Eur Spine J 2012;21:228-39.
  • 74.Verwoerd AJ, Luijsterburg PA, Lin CW, Jacobs WC, Koes BW, Verhagen AP. Systematic review of prognostic factors predicting outcome in non-surgically treated patients with sciatica. Eur J Pain 2013;17:1126-37.
  • 75.Verwoerd AJ, Peul WC, Willemsen SP, Koes BW, Vleggeert-Lankamp CL, El Barzouhi A, et al. Diagnostic accuracy of history taking to assess lumbosacral nerve root compression. Spine J 2014;14:2028-37.
  • 76.Verwoerd AJH, Mens J, El Barzouhi A, Peul WC, Koes BW, Verhalgen AP. Does localization of worsening of pain during coughing, sneezing and straining matter in the assessment of lumbosacral nerve root compression? A short report J Spine 2015. [submitted]
  • 77.Vroomen PCAJ, De Krom MC, Knottnerus JA. Diagnostic value of history and physical examination in patients suspected of sciatica due to disc herniation: A systematic review. J Neurol 1999;246:899-906.
  • 78.Vroomen PCAJ, De Krom MC, Knottnerus JA. Consistency of history taking and physical examination in patients with suspected lumbar nerve root involvement. Spine (Phila Pa 1976) 2000;25:91-6.
  • 79.Vroomen PCAJ, De Krom MCTF, Wilmink JT, Kester ADM, Knottnerus JA. Diagnostic value of history and physical examination in patients suspected of lumbosacral nerve root compression. J Neurol Neurosurg Psychiatry 2002a;72:630-4.
  • 80.Vroomen PCAJ, De Krom MCTF, Knottnerus JA. Predicting the outcome of sciatica at short-term follow-up. Br J Gen Pract 2002b;52:119-23.
  • 81.Vroomen PCAJ. Het lumbosacrale radiculaire syndroom. Tijdschr Neurol Neurochir 2013:76-80.
  • 82.Wassenaar M, Van Rijn RM, Van Tulder MW, Verhagen AP, Van der Windt DAWM, Koes BW, et al. Magnetic resonance imaging for diagnosing lumbar spinal pathology in adult patients with low back pain or sciatica: a diagnostic systematic review. Eur Spine J 2012;21:220-7.
  • 83.Weber H. Lumbar disc herniation. A controlled, prospective study with ten years of observation. Spine (Phila Pa 1976) 1983;8:131-40.
  • 84.Weinstein JN, Tosteson TD, Lurie JD, Tosteson ANA, Hanscom B, Skinner JS, et al. Surgical vs nonoperative treatment for lumbar disk herniation: The spine patient outcomes research trial (sport): a randomized trial. JAMA 2006;296:2441-50.
  • 85.You JJ, Bederman SS, Symons S, Bell CM, Yun L, Laupacis A, et al. Patterns of care after magnetic resonance imaging of the spine in primary care. Spine (Phila Pa 1976) 2013;38:51-9.
  • 86.Younes M, Bejia I, Aguir Z, Letaief M, Hassen-Zrour S, Touzi M, et al. Prevalence and risk factors of disk-related sciatica in an urban population in Tunisia. Joint Bone Spine 2006;73:538-42.

Reacties

Er zijn nog geen reacties.