Samenvatting
De kern
-
Sepsis is een medisch spoedgeval met hoge mortaliteit en morbiditeit.
-
De incidentie van sepsis stijgt, vooral door het groeiende aantal kwetsbare ouderen.
-
Patiënten met sepsis horen in het ziekenhuis behandeld te worden.
-
Bewustzijn, tensie, ademhaling, perifere circulatie en diurese geven belangrijke aanwijzingen.
Inleiding
Een vrouw met koorts, koude rillingen en malaise
Definitie
qSOFA
-
ademhalingsfrequentie ≥ 22/min;
-
veranderd bewustzijn;
-
systolische bloeddruk ≤ 100 mmHg.
Epidemiologie
Pathofysiologie
Oorzaken en risicofactoren
Diagnose
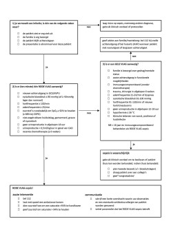
Wanneer verwijzen?
Acute interventie vóór ziekenhuisopname
Beschouwing
Conclusie
Literatuur
- 1.↲↲↲↲↲↲↲Angus DC, Van der Poll T. Severe sepsis and septic shock. N Engl J Med 2013;369:840-51.
- 2.↲Bakker J, Levi M, Van Hout BA, Van Gestel A. Sepsis, een gecompliceerd syndroom met belangrijke medische en maatschappelijke consequenties. Ned Tijdschr Geneeskd. 2004; 48):975-8.
- 3.↲McPherson D, Griffiths C, Williams M, Baker A, Klodawski E, Jacobson B, et al. Sepsis-associated mortality in England: an analysis of multiple cause of death data from 2001 to 2010. BMJ Open. 2013;3. pii: e002586.
- 4.↲Iwashyna TJ, Ely EW, Smith DM, Langa KM. Long-term cognitive impairment and functional disability among survivors of severe sepsis. JAMA. 2010;304):1787-94.
- 5.↲Kumar A, Roberts D, Wood KE, Light B, Parrillo JE, Sharma S, et al. Duration of hypotension before initiation of effective antimicrobial therapy is the critical determinant of survival in human septic shock. Crit Care Med 2006;34:1589-96.
- 6.↲Tromp M, Tjan DHT, van Zanten ARH, Gielen-Wijffels SE, Goekoop GJ, Van den Boogaard M, et al. The effects of implementation of the Surviving Sepsis Campaign in the Netherlands. Neth J Med 2011;69:292-8.
- 7.↲Dellinger RP, Levy MM, Rhodes A, Annane D, Gerlach H, Opal SM, et al.; Surviving Sepsis Campaign Guidelines Committee including the Pediatric Subgroup. Surviving Sepsis Campaign: international guidelines for management of severe sepsis and septic shock, 2012. Intensive Care Med 2013;39:165-228.
- 8.↲Groenewoudt M, Roest AA, Leijten FM, Stassen PM. Septic patients arriving with emergency medical services: a seriously ill population. Eur J Emerg Med 2014;21:330-5.
- 9.↲Van der Wekken LCW, Alam N, Holleman F, Van Exter P, Kramer MH, Nanayakkara PW. Epidemiology of sepsis and its recognition by emergency medical services personnel in the Netherlands. Prehosp Emerg Care 2016;20:90-6.
- 10.↲Singer M, Deutschman CS, Seymour CW, Shankar-Hari M, Annane D, Bauer M, et al. The third international consensus definitions for sepsis and septic shock (Sepsis-3). JAMA 2016;315:801-10.
- 11.↲Bone RC, Balk RA, Cerra FB, Dellinger RP, Fein AM, Knaus WA, et al. Definitions for sepsis and organ failure and guidelines for the use of innovative therapies in sepsis. The ACCP/SCCM Consensus Conference Committee. American College of Chest Physicians/Society of Critical Care Medicine. Chest 1992;101:1644-55.
- 12.↲Loots F, Arpots R, van den Berg R, Hopstaken RM, Giesen P, Smits M. Recognition of sepsis in primary care: a questionnaire survey among general practitioners. Br J Gen Pract Open (geaccepteerd).
- 13.↲Tsertsvadze A, Royle P, Seedat F, Cooper J, Crosby R, McCarthy N. Community-onset sepsis and its public health burden: a systematic review. Syst Rev 2016;5:81.
- 14.Martin GS, Mannino DM, Eaton S, Moss M. The epidemiology of sepsis in the United States from 1979 through 2000. N Engl J Med 2003; 348:1546-54.
- 15.Walkey AJ, Lagu T, Lindenauer PK. Trends in sepsis and infection sources in the United States: A population-based study. Ann Am Thorac Soc 2015;12:216-20.
- 16.Angus DC, Linde-Zwirble WT, Lidicker J, Clermont G, Carcillo J, Pinsky MR. Epidemiology of severe sepsis in the United States: analysis of incidence, outcome, and associated costs of care. Crit Care Med. 2001;29:1303-10.
- 17.↲↲↲Sheu C, Gong MN, Zhai R, Bajwa EK, Chen F, Thompson BT, et al. The influence of infection sites on development and mortality of ARDS. Intensive Care Med 2010;36;963-70.
- 18.↲↲Henriksen DP, Pottegård A, Laursen CB, Jensen TG, Hallas J, Pedersen C, et al. Risk factors for hospitalization due to community-acquired sepsis – a population-based case-control study. PLoS One 2015;10:e0124838.
- 19.↲Jui J. Septic shock. In: Tintinalli JE, Stapczynski JE, Ma OJ, et al., editors. Tintinalli’s emergency medicine: A comprehensive study guide. 7th ed. Sydney: McGraw-Hill Medical; 2011. p. 1003-14.
- 20.National Institute for Health and Care Excellence. Sepsis: recognition, diagnosis and early management. NICE-guideline 51. London: NICE; 2016.
- 21.Stockley S, Daniels R, Nutbeam T. Toolkit: general practice recognition & management of sepsis in adults and children and young people over 12 years. Birmingham: The UK Sepsis Trust; 2016.
- 22.↲Seymour CW, Cooke CR, Heckbert SR, Spertus JA, Callaway CW, Martin-Gill C, et al. Prehospital intravenous access and fluid resuscitation in severe sepsis: an observational cohort study. Crit Care 2014;18:533.
- 23.↲Alam N, de Ven PM, Oskam E, Stassen P, Kramer MH, Exter PV, et al. Study protocol for a multi-centre, investigator-initiated, randomized controlled trial to compare the effects of prehospital antibiotic treatment for sepsis patients with usual care after training emergency medical services (EMS) personnel in early recognition (the Prehospital ANTibiotics Against Sepsis (PHANTASi) trial. Acute Med 2016;15:176-84.
- 24.↲↲Howell MD, Davis AM. Management of sepsis and septic shock. JAMA 2017;317:847-8.
- 25.↲Nasa P, Juneja D, Singh O. Severe sepsis and septic shock in the elderly: An overview. World J Crit Care Med 2012;1:23-30.
- 26.Pierrakos C, Vincent JL. Sepsis biomarkers: a review. Crit Care 2010;14:R15.
- 27.Vincent JL. The clinical challenge of sepsis identification and monitoring. PLoS Med 2016;13:e1002022.