Wetenschap

Zelfmanagementsupport bij volwassenen met astma

Samenvatting

Snoeck-Stroband JB, Van Gaalen JL, Beerthuizen T, Van der Meer V, Bakker MJ, Van Reisen PAJ, et al., voor de SMASHING (Self-Management in Asthma Supported by Hospitals, ICT, Nurses and General practitioners) Studiegroep. Zelfmanagementsupport bij volwassenen met astma. Huisarts Wet 2014;57(11):572-5.
Langetermijnmanagement van astma blijft in de praktijk achter bij de doelen die de internationale richtlijnen daarvoor stellen. Het gebruik van internet lijkt aantrekkelijk als ondersteuning van zelfmanagement bij astma. In een recent multicentrumonderzoek met een pragmatische gecontroleerde parallelle opzet en een follow-upduur van een jaar hebben we patiënten gerandomiseerd voor zelfmanagement via internetondersteuning (ZIN-groep) of alleen gebruikelijke zorg (GZ). ZIN-ondersteuning stopte na twaalf maanden follow-up automatisch. Dit onderzoek liet zien dat met ZIN-ondersteuning de astmagerelateerde kwaliteit van leven verbeterde, evenals de astmacontrole, de longfunctie en het aantal symptoomvrije dagen, vergeleken met de gebruikelijke zorg. ZIN-ondersteuning was gebaseerd op belangrijke onderdelen voor effectief zelfmanagement en omvatte wekelijkse monitoring van astmacontrole en behandeladviezen, diverse modules voor online-informatievoorziening en communicatie met een longverpleegkundige. Het doel van het huidige onderzoek is om het langetermijneffect te bepalen van het eenjarige zelfmanagementprogramma via internet en dat te vergelijken met dat van de gebruikelijke zorg.
We hebben in 2009 tweehonderd volwassenen met de diagnose astma (minimaal drie maanden inhalatiecorticosteroïden in het voorafgaande jaar) van 37 huisartsenpraktijken en 1 academisch centrum uitgenodigd voor deelname aan een vervolgonderzoek gedurende 1,5 jaar na het beëindigen van het onderzoek. Honderdzeven patiënten (60 GZ- en 47 ZIN-groep) hebben de Asthma Control Questionnaire (ACQ) en de Asthma Quality of Life Questionnaire (AQLQ) ingevuld.
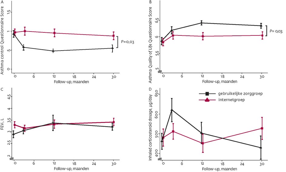
Dertig maanden na baseline vonden we in de ZIN-groep een persisterende en significante verbetering van astmagerelateerde kwaliteit van leven van 0,29 (95%-BI 0,01 tot 0,57) en astmacontrole van –0,33 (95%-BI –0,61 tot –0,05), vergeleken met gebruikelijke zorg. We vonden geen verschillen voor de dosering van inhalatiecorticosteroïden en longfunctie (geforceerd expiratoir volume in 1 seconde (FEV1)).
Verbeteringen in astmagerelateerde kwaliteit van leven en astmacontrole blijven behouden bij patiënten die gedurende een jaar gebruik hebben gemaakt van zelfmanagementondersteuning via internet, zelfs tot anderhalf jaar nadat ze de ondersteuning hadden beëindigd. Toekomstig onderzoek zou zich moeten richten op het op brede schaal implementeren van zelfmanagementondersteuning binnen de huidige astmazorg.

Wat is bekend?

  • Zelfmanagementondersteuning via internet verbetert de astmagerelateerde kwaliteit van leven, de astmacontrole, de longfunctie en het aantal symptoomvrije dagen, vergeleken met de gebruikelijke zorg.

 

Wat is nieuw?

  • Verbeteringen in de kwaliteit van leven en astmacontrole blijven behouden bij patiënten die gedurende een jaar gebruik hebben gemaakt van zelfmanagementondersteuning via internet, zelfs tot anderhalf jaar nadat ze de ondersteuning hadden beëindigd.

 

Inleiding

Astma is een veelvoorkomende chronische aandoening met een prevalentie van rond de 6% bij volwassenen.1 Ze wordt gekenmerkt door een chronische ontsteking en/of structurele veranderingen van de luchtwegen, resulterend in herhaalde perioden van piepen, hoesten en kortademigheid.23 Volgens richtlijnen zou de behandeling zich moeten richten op het minimaliseren van luchtwegklachten, optimaliseren van de longfunctie en voorkomen van exacerbaties.23 Hoewel effectieve behandeling op grote schaal beschikbaar is, zijn er toch veel patiënten bij wie de behandeldoelen niet worden gehaald.14 Een proactief beleid waarbij de patiënt centraal staat en dat gericht is op educatie, behandeldoelen, zelfmonitoring en een actieplan voor exacerbaties zou astmacontrole kunnen verbeteren.5 Zelfmanagement wordt in de praktijk echter nog maar weinig ondersteund.
Internettechnologie zou de implementatie van astmazelfmanagement kunnen vergemakkelijken.678 Uit onderzoek bij patiënten met mild tot matig persisterend astma blijkt dat een ondersteuningsprogramma voor Zelfmanagement via INternet (ZIN) gedurende één jaar de astmagerelateerde kwaliteit van leven verbeterde, evenals de astmacontrole, de longfunctie en het aantal symptoomvrije dagen, vergeleken met gebruikelijke zorg.9 Wij wilden de langetermijneffecten onderzoeken van een één jaar durend programma voor zelfmanagementondersteuning via internet en deze vergelijken met die van de gebruikelijke zorg. De hypothese is dat de positieve effecten van één jaar ZIN-ondersteuning voor een lange periode behouden blijven.

Methode

We vroegen tweehonderd patiënten, die net hadden deelgenomen aan een 12 maanden durend multicentrum, niet-geblindeerd, pragmatisch gerandomiseerd parallel onderzoek (Self-Management of Asthma Supported by Hospitals, ICT, Nurses and General practitioners; SMASHING), om mee te werken aan een additioneel follow-uponderzoek (langetermijn-SMASHING), 1,5 jaar na beëindiging van het SMASHING-onderzoek. Uitgebreide details over de methoden en deelnemers van het SMASHING-onderzoek zijn elders gepubliceerd.9 Bij 37 huisartsenpraktijken in de regio Leiden en Den Haag, en de polikliniek van de afdeling Longziekten van het Leids Universitair Medisch Centrum (LUMC) werden patiënten geworven (18-50 jaar, astma, minimaal 3 maanden inhalatiecorticosteroïden in het afgelopen jaar, internet thuis, geen onderhoudsbehandeling met orale corticosteroïden). De patiënten in het SMASHING-onderzoek hebben gedurende twee weken hun longfunctie gemonitord met het geforceerde expiratoire volume in 1 seconde (FEV1) met een handmatige elektronische spirometer (PiKo-1, nSpire Health, Inc., Longmont, CO, VS) en luchtwegklachten gemonitord met de Asthma Control Questionnaire (ACQ) via een speciaal ontwikkelde webapplicatie.10 De ACQ is een gevalideerde vragenlijst met 7 items (6 vragen en een longfunctiemeting) om de mate van astmacontrole te meten. De optimale grenswaarde voor een ‘goede controle’ is £ 0,75 en een waarde van ≥ 1,50 wijst op ‘matig tot slecht gecontroleerd astma’.11 Hierna hebben de onderzoekers patiënten gerandomiseerd voor ZIN-ondersteuning of gebruikelijke zorg (GZ).

Zelfmanagement via INternet (ZIN) ondersteuningsprogramma

Het ZIN-ondersteuningsprogramma is gebaseerd op focusgroepen,12 het ‘Chronic Care Model’13 en bekende kernonderdelen van effectief zelfmanagement5. Gedurende 12 maanden hadden patiënten (SMASHING) de mogelijkheid hun astmacontrole te monitoren (wekelijks ACQ en longfunctie), toegang tot een persoonlijk actieplan, communicatie met een longverpleegkundige en educatie [figuur 1]. Men heeft een ‘stoplichtcodering’ volgens een behandelalgoritme gebruikt om de mate van astmacontrole aan te geven: groen (goede controle, ACQ ≤ 0,5), geel (voldoende controle, 0,5 < ACQ), oranje (matige controle, 1 < ACQ) en rood (slechte controle, ACQ ≥ 1,5). Na 12 maanden was het internetprogramma niet meer beschikbaar.

Gebruikelijke zorg (GZ)

In de GZ-groep kregen patiënten reguliere begeleiding zonder bijzondere instructie aan de huisarts. Volgens de NHG-Standaard moet men patiënten regelmatig zien als het astma niet goed onder controle is.14

Additionele follow-up 30 maanden na baseline

Op 30 maanden na baseline hebben we deelnemers aan het SMASHING-onderzoek voor follow-upmetingen uitgenodigd in het LUMC. Patiënten hebben voor aanvang van het onderzoek schriftelijk toestemming gegeven. We registreerden de huidige dosering van de medicatie en de patiënten vulden een ACQ (inclusief FEV1) in en een gevalideerde Asthma Quality of Life Questionnaire met 21 vragen (AQLQ).15 Het minimaal klinisch relevante verschil voor de ACQ is -0,5 en voor de AQLQ 0,5.

Statistische analyse

Met ongepaarde t-tests hebben we van beide groepen (ZIN en GZ) verschillen geanalyseerd in kenmerken van deelnemers en niet-deelnemers, op baseline van het langetermijn-SMASHING-onderzoek. Met behulp van het lineair mixed-effect-model hebben we ACQ- en AQLQ-scores, FEV1, dagelijkse inhalatiecorticosteroïd (ICS)-doses vergeleken tussen deelnemers van beide groepen. De ICS-dosering hebben we gerapporteerd als fluticasone-equivalenten. De statistische analyse hebben we uitgevoerd op een intention-to-treatmodel. Voor de analyse hebben we Stata 9.2 (StataCorp, College Station TX, VS) gebruikt. Voor goed gecontroleerde astma (ACQ £ 0,75) en niet-goed gecontroleerd astma (ACQ > 0,75) hebben we op baseline subgroepanalyses verricht.10

Resultaten

Anderhalf jaar na het beëindigen van het SMASHING-onderzoek namen in totaal 107 van de 200 patiënten (54%) deel aan het follow-uponderzoek, van wie 47 in de IG- en 60 in de GZ-groep.
Patiënten in de IG-groep verschilden in baseline-ACQ-scores (0,93 versus 1,29; p = 0,009) vergeleken met patiënten in de GZ-groep. [Tabel 1] geeft een overzicht van de patiëntkenmerken in beide groepen.
Tabel1Baseline-kenmerken
Kenmerken Internetgroep (ZIN) (n = 47) Gebruikelijke zorggroep (GZ) (n = 60)
Leeftijd, gemiddelde (sd) 36 (8,7) 37 (8,0)
Geslacht, n (%)
Man 12 (26%) 19 (32%)
Vrouw 35 (74%) 41 (68%)
Rokers, n (%) 25 (53%) 27 (45%)
Dagelijkse dosering inhalatiecorticosteroïden (µg), gemiddelde (sd)455 (279)476 (338)
AQLQ-score, gemiddelde (sd)* 5,88 (0,74) 5,84 (0,82)
ACQ-score, gemiddelde (sd) 0,93 (0,60) 0,97 (0,65)
Pre-luchtwegverwijder FEV1, gemiddelde (sd) 3,26 (0,80) 3,41 (0,96)
Pre-luchtwegverwijder FEV1 (% van voorspeld), gemiddelde (sd) 96,8 (20) 95,5 (18)
* Scorebereik (slechtste-beste), 1-7; minimaal klinisch relevant verschil (MCID): 0,5.Scorebereik (slechtste-beste), 6-0; MCID: 0,5.Aantal beschikbare observaties in de internetgroep is 26 en in de gebruikelijke zorggroep 37.

Klinische uitkomsten

Twaalf maanden na baseline hadden patiënten in de IG-groep een verbetering van astmagerelateerde kwaliteit van leven (AQLQ) 0,37 (95%-BI 0,14 tot 0,61) en astmacontrole –0,57 (95%-BI –0,88 tot –0,26), vergeleken met patiënten uit de GZ-groep. Bij de patiënten die deelnamen aan het follow-uponderzoek was er na 12 maanden een verbetering van 0,43 (95%-BI 0,21 tot 0,66) van de ACQ-score. Bij de patiënten die niet deelnamen aan het follow-uponderzoek was er na 12 maanden een verbetering van 0,34 (95%-BI 0,065 tot 0,61) van de ACQ-score in de IG-groep. Er was geen significant verschil tussen deelnemers en niet-deelnemers na 30 maanden.
Dertig maanden na baseline was er een significante persisterende verbetering van zowel de astmagerelateerde kwaliteit van leven (AQLQ; gecorrigeerd verschil tussen beide groepen van 0,29 (95%-BI 0,01 tot 0,57)), als de astmacontrole (gecorrigeerd verschil van –0,33 (95%-BI –0,61 tot –0,05) in de IG-groep, vergeleken met de GZ-groep [figuur 2]. Er waren geen verschillen in de gemiddelde dosering van de inhalatiecorticosteroïden en de longfunctie gemeten met FEV1. Patiënten met slecht gecontroleerd astma op baseline (ACQ ≤ 0,75) hadden in de IG-groep significant betere uitkomsten na dertig maanden voor de astmagerelateerde kwaliteit van leven AQLQ (gecorrigeerd binnensgroepsverschil van 0,52 (95%-BI 0,10 tot 0,95) en astmacontrole (gecorrigeerd verschil –0,44 (95%-BI 0,04 tot 0,85)), vergeleken met de GZ-groep.

Beschouwing

De resultaten van dit onderzoek laten zien dat ZIN-ondersteuning gedurende één jaar leidt tot een langdurige verbetering van astmacontrole en astmagerelateerde kwaliteit van leven vergeleken met gebruikelijke zorg, zelfs tot anderhalf jaar na het beëindigen van de ondersteuning. Internetondersteuning was additioneel ten opzichte van gebruikelijke zorg en bestond uit educatie, een actieplan, zelfmonitoring en regelmatige medische controle via internet. Dit laat zien dat aanhoudende verbeteringen van gezondheid kunnen worden bereikt door een gestructureerde aanpak en zelfmanagementondersteuning, zoals aangegeven door het Chronic Care Model. Eerder onderzoek heeft aangetoond dat zelfmanagement met papieren dagboeken en geschreven actieplannen bij astmapatiënten gedurende twee jaar tot een verbetering leidde van astmacontrole en astmagerelateerde kwaliteit van leven.16 Ons onderzoek laat voor het eerst zien dat zelfmanagement via internet ook op de lange termijn de astmacontrole en kwaliteit van leven van patiënten met astma verbetert.

Beperkingen

Het originele SMASHING-onderzoek had veel sterke punten, zoals men elders heeft beschreven.9 Desondanks moeten we de resultaten van het follow-uponderzoek voorzichtig interpreteren. Ten eerste was het aantal deelnemers relatief laag vergeleken met andere follow-uponderzoeken,17 wat de generaliseerbaarheid zou kunnen beperken. Ten tweede liet de ZIN-groep weliswaar significante verbeteringen zien vergeleken met de GZ-groep, maar dit verschil was kleiner dan wat men als klinisch relevant beschouwt. Bij een subgroep van patiënten met slecht gecontroleerd astma vonden we wel een klinisch relevante verbetering vergeleken met de GZ-groep. Deze subgroep heeft wellicht meer ruimte voor verbetering.

Conclusie

Patiënten vragen steeds meer om het gebruik van moderne technologie bij management van chronische aandoeningen. Voor astma is er inmiddels een groeiend aantal apps beschikbaar voor zelfmanagement,18, hoewel deze veelal essentiële onderdelen voor adequate zelfmanagementondersteuning missen.
Ons onderzoek laat zien dat ZIN op de lange termijn positieve effecten heeft, wat een gunstige invloed heeft op de kosteneffectiviteit in de dagelijkse praktijk, aangezien de meeste kosten (trainingen en uitleg) voor dit soort middelen bij aanvang worden gemaakt. Als men ZIN wil implementeren moet men aan een aantal voorwaarden voldoen. ZIN moet worden toegespitst op de dagelijkse routine van de patiënt, zoals de frequentie van de monitoring. Ook moet men ZIN met de reguliere zorg integreren. Ten slotte is het belangrijk dat eventuele kosten die met ZIN gepaard gaan worden gefinancierd, zoals adequaat gebruik van longfunctiemeters.
Zelfmanagementondersteuning via internet leidt tot langdurige verbetering van astmagerelateerde kwaliteit van leven en astmacontrole. Deze houdt zelfs aan tot anderhalf jaar na beëindiging van de ondersteuning en geldt in het bijzonder voor patiënten met slecht gecontroleerd astma.

Dankwoord

Dit onderzoek werd ondersteund door het samenwerkingsverband van Zorg-onderzoek Nederland (ZonMW) en het Longfonds Nederland. Het werd gesponsord door de Netherlands Organization for Scientific Research (NWO) Incentive fund Open Access publications. De SMASHING (Self-Management of Asthma Support by Hospitals, ICT, Nurses and General practitioners) Studiegroep: W.J.J. Assendelft, MD, PhD; M.J. Bakker, RN; E.H. Bel, MD, PhD; S.B. Detmar, PhD; J.C. de Jongste, MD, PhD; A.A. Kaptein, PhD; V. van der Meer, MD, PhD; K.F. Rabe, MD, PhD; E.R.V.M. Rikkers-Mutsaerts, MD; J.K. Sont, PhD; H.F. van Stel, PhD; P.J. Sterk, PhD; H.A. Thiadens, MD, PhD; P.J.Toussaint, PhD. Wij danken professor E.F. Juniper voor haar toestemming voor het gebruik van de Asthma Control Questionnaire.

Literatuur

  • 1.Demoly P, Paggiaro P, Plaza V, Bolge SC, Kannan H, Sohier B, et al. Prevalence of asthma control among adults in France, Germany, Italy, Spain and the UK. Eur Respir Rev 2009;18:105-12.
  • 2.British Thoracic Society, Scottish Intercollegiate Guidelines Network. British guideline on the management of asthma. 2008. http://www.brit-thoracic.org.uk/guidelines-and-quality-standards/asthma-guideline.
  • 3.Global Initiative for asthma (GINA). Global strategy for asthma management and prevention. 2012. http://www.ginasthma.org/documents/4.
  • 4.Rabe KF, Adachi M, Lai CK, Soriano JB, Vermeire PA, Weiss KB, et al. Worldwide severity and control of asthma in children and adults: the global asthma insights and reality surveys. J Allergy Clin Immunol 2004;114:40-7.
  • 5.Gibson PG, Powell H, Coughlan J, Wilson AJ, Abramson M, Haywood P, et al. Self-management education and regular practitioner review for adults with asthma. Cochrane Database Syst Rev 2003:CD001117.
  • 6.Hashimoto S, Brinke AT, Roldaan AC, Van Veen IH, Moller GM, Sont JK, et al. Internet-based tapering of oral corticosteroids in severe asthma: a pragmatic randomised controlled trial. Thorax 2011;66:514-20.
  • 7.Liu WT, Huang CD, Wang CH, Lee KY, Lin SM, Kuo HP. A mobile telephone-based interactive self-care system improves asthma control. Eur Respir J 2011;37:310-7.
  • 8.McLean S, Chandler D, Nurmatov U, Liu J, Pagliari C, Car J, et al. Telehealthcare for asthma: a Cochrane review. CMAJ 2011;183:E733-42.
  • 9.Van der Meer V, Bakker MJ, Van den Hout WB, Rabe KF, Sterk PJ, Kievit J, et al. Internet-based self-management plus education compared with usual care in asthma: a randomized trial. Ann Intern Med 2009;151:110-20.
  • 10.Juniper EF. Assessing asthma control. Curr Allergy Asthma Rep 2007;7:390-4.
  • 11.Juniper EF, Bousquet J, Abetz L, Bateman ED, Committee G. Identifying ‘well-controlled’ and ‘not well-controlled’ asthma using the Asthma Control Questionnaire. Respir Med 2006;100:616-21.
  • 12.Van der Meer V, Van Stel HF, Detmar SB, Otten W, Sterk PJ, Sont JK. Internet-based self-management offers an opportunity to achieve better asthma control in adolescents. Chest 2007;132:112-9.
  • 13.Coleman K, Austin BT, Brach C, Wagner EH. Evidence on the Chronic Care Model in the new millennium. Health Aff (Millwood) 2009;28:75-85.
  • 14.Geijer RMM, Chavannes NH, Muris JWM, Sachs APE, Schermer T, Smeele I, et al. NHG-Standaard Astma bij volwassenen (tweede herziening). Utrecht: Nederlands Huisartsengenootschap, 2007. https://www.nhg.org/standaarden/samenvatting/astma-bij-volwassenen.
  • 15.Juniper EF, Buist AS, Cox FM, Ferrie PJ, King DR. Validation of a standardized version of the Asthma Quality of Life Questionnaire. Chest 1999;115:1265-70.
  • 16.Thoonen BP, Schermer TR, Van Den Boom G, Molema J, Folgering H, Akkermans RP, et al. Self-management of asthma in general practice, asthma control and quality of life: a randomised controlled trial. Thorax 2003;58:30-6.
  • 17.Khunti K, Gray LJ, Skinner T, Carey ME, Realf K, Dallosso H, et al. Effectiveness of a diabetes education and self management programme (DESMOND) for people with newly diagnosed type 2 diabetes mellitus: three year follow-up of a cluster randomised controlled trial in primary care. BMJ 2012;344:e2333.
  • 18.Huckvale K, Car M, Morrison C, Car J. Apps for asthma self-management: a systematic assessment of content and tools. BMC Med 2012;10:144.

Reacties

Er zijn nog geen reacties.